Channels / CY Law, Visas, Taxes, Insurance
CY Law, Visas, Taxes, Insurance
@cylaw · supergroup
Виктория
2025-04-11 04:02 UTC
Oleg Reshetnikov
Не влияет.
Ваша виза действует 90/180, но не более срока действия визы или не более срока, который о...
Благодарю за информацию, Олег 🙏👍
Arina Malykh
2025-04-11 05:10 UTC
Доброе утро) подскажите, пожалуйста, у меня русский паспорт и Пинк слип, у моего 1,5 годовалого Ребенка болгарский паспорт и нет вида на жительство. Пыталась сделать ему визу в Россию, и первый раз услышала о том, что ему обязательно нужен вид на жительство. Может кто нибудь знает, какая для таких малышей процедура и сколько по времени занимает?
Vadim (ВАДИЧ)
2025-04-11 05:24 UTC
Arina Malykh
Доброе утро) подскажите, пожалуйста, у меня русский паспорт и Пинк слип, у моего 1,5 годовалого Ребе...
Должны / могут дать на месте, meu1 смотрите.
Но для онлайн РФ визы внж Кипра не нужно - кто вам сказал?
Но для онлайн РФ визы внж Кипра не нужно - кто вам сказал?
Arina Malykh
2025-04-11 05:29 UTC
Vadim (ВАДИЧ)
Должны / могут дать на месте, meu1 смотрите.
Но для онлайн РФ визы внж Кипра не нужно - кто вам ска...
Тк летим на 21 день, хотела податься на приват визу… благодарю!
Sugar Queen
2025-04-11 05:32 UTC
Arina Malykh
Тк летим на 21 день, хотела податься на приват визу… благодарю!
На днях с 16 до 30 дней срок эл.визы продлили
Arina Malykh
2025-04-11 05:33 UTC
Sugar Queen
На днях с 16 до 30 дней срок эл.визы продлили
Вау, серьезно? А есть ссылочка какая-нибудь? 🙏🏽
Arina Malykh
Вау, серьезно? А есть ссылочка какая-нибудь? 🙏🏽
📎 Webpage (not supported)
Arina Malykh
2025-04-11 05:35 UTC
Sugar Queen
https://t.me/tass_agency/310068
Благодарю! Вы сделали мой день!
Yulia
2025-04-11 05:38 UTC
Я до этого писала в январе и получила на июнь, но не понятно: на всю семью или нет. Поэтому решили еще на будущее написать все по отдельности 10 марта. Писали около 12 дня. Всем пришла отбивка про: пишите с 10 марта по какое-то марта. Еще раз написали и тишина после этого. Я потом недели через 2 написала: где? Вам же писали 10 марта. В ответ уже отбивка про сентябрь. Мб мы как-то уже в «базе на июнь» и поэтому второй раз нам не полагается🤔
NightWatch
2025-04-11 05:49 UTC
Arina Malykh
Доброе утро) подскажите, пожалуйста, у меня русский паспорт и Пинк слип, у моего 1,5 годовалого Ребе...
если у человека нет гражданства Кипра, то ему нужен внж/пмж для проживания на Кипре
Nadine Stefanova
2025-04-11 05:55 UTC
Arina Malykh
Доброе утро) подскажите, пожалуйста, у меня русский паспорт и Пинк слип, у моего 1,5 годовалого Ребе...
ему нужно оформить видимо MEU1 (но тут лучше уточнить в миграции). подаете документы, сразу дадут так называемый жълт лист и это и будет его вид на жительство, пластик не дают в этом случае.
но уточните в миграции как несовершеннолетнему гражданину ЕС оформлять, идите в окна для граждан ЕС.
p.s. граждане ЕС могут 4 месяца находится без оформления вида на жительство, потом если хочет пребывать дальше, нужно оформить.
но уточните в миграции как несовершеннолетнему гражданину ЕС оформлять, идите в окна для граждан ЕС.
p.s. граждане ЕС могут 4 месяца находится без оформления вида на жительство, потом если хочет пребывать дальше, нужно оформить.
Deanna
2025-04-11 06:02 UTC
Добрый день! Срочно ищу сильного миграционного юриста для консультаций по сложному кейсу для мамы. Вдова киприота, отказ в визе. Юрист-киприот подавал как Other third country national who has acquired the residence right at the Republic from a Cypriot Citizen. Письмо еще не получила, юрист узнавал о причине - говорит, что «не указана, предлагают переподаться как визитер»
Карина
2025-04-11 06:22 UTC
При подаче на шенген визу в испанское посольство, кто-нибудь не покупал авиабилеты, они сами пишут, что лучше не покупать до выдачи визы, подскажите, какими сервисами пользовались для бронирования авиабилетов, и испанцы приняли это?
Елена
2025-04-11 06:51 UTC
Yulia
Я до этого писала в январе и получила на июнь, но не понятно: на всю семью или нет. Поэтому решили е...
У испанцев один на семью.
Но в целом я в исходной заявке указывала, что подаваться будет семья, столько-то человек.
Но в целом я в исходной заявке указывала, что подаваться будет семья, столько-то человек.
Denis
2025-04-11 07:10 UTC
Карина
При подаче на шенген визу в испанское посольство, кто-нибудь не покупал авиабилеты, они сами пишут, ...
у Aegean можно забронировать билеты, за какой то процент от цены(мне вышло около 20 евро), бронь на 3 дня. Я подавался с такими, их устроило. Но не знаю, проверяют ли они вообще это.
Карина
2025-04-11 07:12 UTC
Denis
у Aegean можно забронировать билеты, за какой то процент от цены(мне вышло около 20 евро), бронь на ...
Спасибо! А в брони было указано про 3 дня?
Denis
2025-04-11 07:15 UTC
Карина
Спасибо! А в брони было указано про 3 дня?
да, там указано, что оплатите до такой то даты и что уплачена только малая часть.
Olga
2025-04-11 07:18 UTC
Всем добрый день!
Кто-то может подсказать, сколько ждать ответ после интервью на паспорт по фаст трек?
Выше искала этот вопрос, но увидела только один ответ про 3-3,5 месяца.
Заранее благодарю.
Кто-то может подсказать, сколько ждать ответ после интервью на паспорт по фаст трек?
Выше искала этот вопрос, но увидела только один ответ про 3-3,5 месяца.
Заранее благодарю.
Vadim Gaidukevich
2025-04-11 07:19 UTC
Olga
Всем добрый день!
Кто-то может подсказать, сколько ждать ответ после интервью на паспорт по фаст тре...
В среднем от двух до 4х месяцев ждать вызова на интервью и столько же после интервью
Olga
2025-04-11 07:19 UTC
Vadim Gaidukevich
В среднем от двух до 4х месяцев ждать вызова на интервью и столько же после интервью
Интервью уже было.
После интервью сколько ждать ответ примерно?
После интервью сколько ждать ответ примерно?
Vadim Gaidukevich
2025-04-11 07:20 UTC
Olga
Интервью уже было.
После интервью сколько ждать ответ примерно?
Я подправил свой ответ. От двух до 4 месяцев обычно. Хз от чего это зависит
Misha Lasko
2025-04-11 07:20 UTC
Привет!
Знакомые хотят прилететь на Кипр, спрашивают важно ли для получения визы чтобы билеты были с опцией «возврата»? (Не в смысле туда обратно а в смысле что их можно вернуть)
Знакомые хотят прилететь на Кипр, спрашивают важно ли для получения визы чтобы билеты были с опцией «возврата»? (Не в смысле туда обратно а в смысле что их можно вернуть)
NightWatch
2025-04-11 07:20 UTC
Misha Lasko
Привет!
Знакомые хотят прилететь на Кипр, спрашивают важно ли для получения визы чтобы билеты были с...
без разницы
Olga
2025-04-11 07:21 UTC
Vadim Gaidukevich
Я подправил свой ответ. От двух до 4 месяцев обычно. Хз от чего это зависит
Благодарю
Olga
2025-04-11 07:32 UTC
Vadim Gaidukevich
Я подправил свой ответ. От двух до 4 месяцев обычно. Хз от чего это зависит
Еще вопрос.
А если срок в 8 месяцев (фаст трек) истекает через 2,5 месяца, срок ожидания ответа после собеседования все равно может быть дольше этого срока?
А если срок в 8 месяцев (фаст трек) истекает через 2,5 месяца, срок ожидания ответа после собеседования все равно может быть дольше этого срока?
Vadim Gaidukevich
2025-04-11 07:34 UTC
Olga
Еще вопрос.
А если срок в 8 месяцев (фаст трек) истекает через 2,5 месяца, срок ожидания ответа посл...
К сожалению я не знаю ответ на этот вопрос, но знаю кейсы где давали ответ в притык к сроку. Возможно у юристов подающих на гражданство есть большая статистика.
Olga
2025-04-11 07:35 UTC
Vadim Gaidukevich
К сожалению я не знаю ответ на этот вопрос, но знаю кейсы где давали ответ в притык к сроку. Возможн...
Буду благодарна, если кто-то еще в этом чате подключится к моему вопросу)
Yana Arsyutina (Naumova)
2025-04-11 07:38 UTC
привет!
а у кого был опыт с марками через налоговую на допник к трудовому договору в Лимассоле и Ларнаке (марки более чем на 100 евро)? говорят в разных городах от одного дня до нескольких недель может занимать. а у нас горят сроки подачи на внж 😱
а у кого был опыт с марками через налоговую на допник к трудовому договору в Лимассоле и Ларнаке (марки более чем на 100 евро)? говорят в разных городах от одного дня до нескольких недель может занимать. а у нас горят сроки подачи на внж 😱
Catie O`Cake
2025-04-11 07:40 UTC
Yana Arsyutina (Naumova)
привет!
а у кого был опыт с марками через налоговую на допник к трудовому договору в Лимассоле и Лар...
мне сразу поставили. сказали, что вообще то надо было заранее какую-то анкету заполнить и посчитать стоимость марок, но я много раз извинилась и выглядела в целом довольно жалко, так что они сами все посчитали
SM_C1
2025-04-11 07:57 UTC
Olga
Еще вопрос.
А если срок в 8 месяцев (фаст трек) истекает через 2,5 месяца, срок ожидания ответа посл...
Я не знаю никого, кто получил бы письмо позже 8 месяцев, может прям впритык прийти, но придет - если праздники задерживается, напр. Через 2,5 месяца можно волноваться, сейчас рано.)
Natalia
2025-04-11 07:59 UTC
Доброе утро)
Подскажите, пожалуйста, по ситуации: есть оформленная туристическая виза на год. По ней человек уже находился на острове 30 дней. Планирует приехать еще раз на 30 дней.
Вопрос: за сколько дней до истечения визы можно повторно въехать на Кипр? Виза истекает 1 августа, планируем приехать с 1 по 30 июля. Спасибо.
Подскажите, пожалуйста, по ситуации: есть оформленная туристическая виза на год. По ней человек уже находился на острове 30 дней. Планирует приехать еще раз на 30 дней.
Вопрос: за сколько дней до истечения визы можно повторно въехать на Кипр? Виза истекает 1 августа, планируем приехать с 1 по 30 июля. Спасибо.
Svetlana
2025-04-11 08:04 UTC
Natalia
Доброе утро)
Подскажите, пожалуйста, по ситуации: есть оформленная туристическая виза на год. По не...
У Вас пребывание возможно по правилу 90/180. Отсчитайте от первого въезда 180 и считайте дни, проведенные на Кипре в этот период. В Гугле есть калькулятор шенгена, он поможет. По Вашим планам-Вы хотите еще 30 дней. В сумме 60 выйдет, но точнее ответ даст калькулятор
Evangelina
2025-04-11 08:30 UTC
AG
Скажите, есть какие-то успешные кейсы по возврату банковской гарантии при прекращении визы? Уже 4 ме...
Здравствуйте! Вернули банковскую гарантию через 2 месяца . Подавала сама
Vasily C.
2025-04-11 08:33 UTC
Evangelina
Здравствуйте! Вернули банковскую гарантию через 2 месяца . Подавала сама
А можно уточнить, для статистики, какое было основание для возврата?
Evangelina
2025-04-11 08:35 UTC
Vasily C.
А можно уточнить, для статистики, какое было основание для возврата?
У нас пмж , поэтому банковская гарантия больше не нужна . Она нужна только в начале, на момент подачи и ожидания вида на жительство . Если я правильно поняла ваш вопрос
Vasily C.
2025-04-11 08:36 UTC
Evangelina
У нас пмж , поэтому банковская гарантия больше не нужна . Она нужна только в начале, на момент пода...
Да, именно это хотел уточнить.
Поздравляю!
Поздравляю!
оностосия
2025-04-11 08:53 UTC
Ребят, подскажите, из Еревана по прилете в минский аэропорт как проходят паспортный контроль? Спрашивают что-то?
Sugar Queen
2025-04-11 08:55 UTC
оностосия
Ребят, подскажите, из Еревана по прилете в минский аэропорт как проходят паспортный контроль? Спраши...
Обычно спрашивают - надолго к нам? Когда на Москву? Ставят штамп и добро пожаловать!
Добрый день! Подскажите, пожалуйста, правильно ли я поняла, что для возврата банковской гарантии, если мы больше не проживаем на Кипре, я должна распечатать и заполнить вот эту форму, а потом отправить письмо на этот адрес:?
Migration Department
Archbishop Makarios III Avenue, 90, 1077, Nicosia
Cyprus
Migration Department
Archbishop Makarios III Avenue, 90, 1077, Nicosia
Cyprus
Olga Faizova
2025-04-11 09:05 UTC
Добрый день. На продление пинк слипа ребенку нужно проходить снова медосмотр?
NightWatch
2025-04-11 09:06 UTC
Olga Faizova
Добрый день. На продление пинк слипа ребенку нужно проходить снова медосмотр?
нет
NightWatch
2025-04-11 09:06 UTC
Irina Moskvina
Добрый день! Подскажите, пожалуйста, правильно ли я поняла, что для возврата банковской гарантии, ес...
или на email
Yury Spiridonov
2025-04-11 09:13 UTC
Есть успешный кейс получения гражданства и загранпаспорта Израиля по праву на репатриацию для гражданина РФ, постоянно проживающего на Кипре, без полётов в РФ, по следующим этапам, между каждым был примерно месяц:
1) Подача собранных документов - электронно
2) Консульская проверка на право репатриации и получение визы репатрианта в Тбилиси, прилетал на день
3) Получение гражданства по прилёте в Тель-Авив, подача с помощью юриста на загранпаспорт, прилетал на день
4) Получение загранпаспорта юристом и его отправка курьером на Кипр
1) Подача собранных документов - электронно
2) Консульская проверка на право репатриации и получение визы репатрианта в Тбилиси, прилетал на день
3) Получение гражданства по прилёте в Тель-Авив, подача с помощью юриста на загранпаспорт, прилетал на день
4) Получение загранпаспорта юристом и его отправка курьером на Кипр
Sugar Queen
2025-04-11 09:26 UTC
Yury Spiridonov
Есть успешный кейс получения гражданства и загранпаспорта Израиля [по праву на репатриацию](https://...
Справки о несудимости из РФ требовались? Как получали?
Yury Spiridonov
2025-04-11 09:32 UTC
Sugar Queen
Справки о несудимости из РФ требовались? Как получали?
Да, апостилированная. 11тр и 3 недели, без доверки 🙈
Мари
2025-04-11 09:58 UTC
Ребята привет. Очень надеюсь на немного помощи🙌работала в найме на Кипре почти год. Работадатель платил налоги. В июле 2024 года ушла на сервис и покинула остров. Потом по делам жила в Сербии,России и в ноябре подача на внж одной европейской страны. Нигде 183 дня не жила. Кажется ,что правило 60 дней все же ближе к *Да чем нет. И скорее всего за 2024 год я являюсь нал резидентом Кипра?за какое время я должна доплатить или не должна
Denis Mikheev
2025-04-11 10:16 UTC
Мари
Ребята привет. Очень надеюсь на немного помощи🙌работала в найме на Кипре почти год. Работадатель пла...
Насколько я помню, правило 60 дней больше про возможность, чем про обязательство. Но по вашему рассказу выглядит как будто вы все-таки на Кипре прожили 183+.
Мари
2025-04-11 10:17 UTC
Denis Mikheev
Насколько я помню, правило 60 дней больше про возможность, чем про обязательство. Но по вашему расск...
Нет. Все посчитано. 150 дней)если учитывать все выезды по правилам
Evgenii
2025-04-11 10:21 UTC
Мари
Нет. Все посчитано. 150 дней)если учитывать все выезды по правилам
Тогда можете выбрать страну с учётом ваших жизненных интересов. Center of vital interests
Nekto
2025-04-11 10:21 UTC
Мари
Ребята привет. Очень надеюсь на немного помощи🙌работала в найме на Кипре почти год. Работадатель пла...
Правило 60 дней это вроде как право, но не обязанность. На него отдельно подаваться надо, получать сертификат. Мне кажется, если работодатель платил от зп все налоги и взносы, то от зарубежного дохода доплачивать Кипру ничего не требуется. Только если захотите сами стать нал. резом по 60 дням, чтобы распределить, дивиденды через non-dom, например.
В случае если вообще нигде не были больше 183, то в теории могут посчитать нал. резом по месту жизненных интересов, но судя по вашему описанию, это больше РФ (если там есть имущество/семья), чем Кипр, из которого вы уехали окончательно.
В случае если вообще нигде не были больше 183, то в теории могут посчитать нал. резом по месту жизненных интересов, но судя по вашему описанию, это больше РФ (если там есть имущество/семья), чем Кипр, из которого вы уехали окончательно.
Мари
2025-04-11 10:22 UTC
Nekto
Правило 60 дней это вроде как право, но не обязанность. На него отдельно подаваться надо, получать с...
С рф ничего не связывает уже почти 2 года. Была там месяц за документами. Так что ,кажется тоже мимо
Evgenii
2025-04-11 10:23 UTC
Nekto
Правило 60 дней это вроде как право, но не обязанность. На него отдельно подаваться надо, получать с...
"могут посчитать нал.резом по месту жизненных интересов"
А кто это может посчитать?
А кто это может посчитать?
Denis Mikheev
2025-04-11 10:23 UTC
Мари
С рф ничего не связывает уже почти 2 года. Была там месяц за документами. Так что ,кажется тоже мимо
При абсолютно всех прочих равных центром жизненных интересов считают страну гражданства.
Мари
2025-04-11 10:25 UTC
Denis Mikheev
При абсолютно всех прочих равных центром жизненных интересов считают страну гражданства.
То есть я должна сама где то заявить что хочу платить налог?
Denis Mikheev
2025-04-11 10:25 UTC
Мари
То есть я должна сама где то заявить что хочу платить налог?
В ситуации, когда нет однозначного очевидного резидентства в какой-либо стране по законам этой страны – я бы сказал, что да. Но нужно быть готовой доказать, что выбранное вами резидентство обосновано.
Мари
2025-04-11 10:26 UTC
Denis Mikheev
В ситуации, когда нет однозначного очевидного резидентства в какой-либо стране по законам этой стран...
Спасибо
Mikhail Sobolev
2025-04-11 10:38 UTC
Мари
Спасибо
Центр жизненных интересов - это критерий, который рассматривается, как правило, только тогда, когда два государства одновременно считают человека своим налоговым резидентом. В Вашей ситуации Вы точно не являетесь налоговым резидентом России. И Кипр точно не будет считать Вас своим резидентом, пока Вы этого сильно не захотите. Остаются Сербия и какая-то другая страна. Про Сербию лучше проконсультироваться у сербского специалиста (есть особенности в зависимости от того, как Вы вели бизнес там). В результате вполне может оказаться, что в соответствии с законами тех стран, где Вы проживали в 2024 году, Вы нигде не выполнили условия, чтобы какая-то из этих стран признала Вас своим налоговым резидентом. Хорошо это или плохо? Как посмотреть. Например, какой-то банк, куда Вы обратитесь за открытием счёта, может этот факт рассматривать как нежелательный. Остальное - по обстоятельствам.
Nekto
2025-04-11 10:44 UTC
Evgenii
"могут посчитать нал.резом по месту жизненных интересов"
А кто это может посчитать?
В теории - налоговая РФ, если очень захотят. На практике - не представляю, что должно их затриггерить, чтобы они решили проверить, не стал ли человек нал. резом, отсутствуя 2 года в стране.
Так-то можно было бы вообще не заявляться нал. резом нигде, т.к. нет 183 дней. Но в будущем может возникнуть необходимость в декларации за этот год, которой не будет (кроме IR форм Кипрских).
По идее, если и с РФ ничего не связывает кроме гражданства, то можно посчитать страной интересов - последнюю страну ЕС, в которой оформлен ВНЖ (а, значит, есть жильё, работа и тп.). @mariya_f1, я бы на Вашем месте пообщался с налоговым консультантом в текущей стране Вашего ВНЖ, или попробуйте зайти в местную налоговую и уточнить их мнение - т.к. наиболее вероятные вопросы возникнут либо у них, либо у местных банков. Кипр здесь точно не должен ни на что претендовать - там надо ещё посмотреть, не положены ли Вам ещё какие-либо возвраты за уже уплаченные налоги/страховые вашим прежним работодателем в первые 150 дней 2024г.
Так-то можно было бы вообще не заявляться нал. резом нигде, т.к. нет 183 дней. Но в будущем может возникнуть необходимость в декларации за этот год, которой не будет (кроме IR форм Кипрских).
По идее, если и с РФ ничего не связывает кроме гражданства, то можно посчитать страной интересов - последнюю страну ЕС, в которой оформлен ВНЖ (а, значит, есть жильё, работа и тп.). @mariya_f1, я бы на Вашем месте пообщался с налоговым консультантом в текущей стране Вашего ВНЖ, или попробуйте зайти в местную налоговую и уточнить их мнение - т.к. наиболее вероятные вопросы возникнут либо у них, либо у местных банков. Кипр здесь точно не должен ни на что претендовать - там надо ещё посмотреть, не положены ли Вам ещё какие-либо возвраты за уже уплаченные налоги/страховые вашим прежним работодателем в первые 150 дней 2024г.
Nadine Stefanova
2025-04-11 10:44 UTC
Mikhail Sobolev
Центр жизненных интересов - это критерий, который рассматривается, как правило, только тогда, когда ...
в РФ для целей НДФЛ не применяется понятие центр жизненных интересов.
обратной стороной неприятной, что везде не резидент, может быть, что налоги в каждой из стран проживания могут захотеть с человека как с нерезидента. но это мое предположение.
обратной стороной неприятной, что везде не резидент, может быть, что налоги в каждой из стран проживания могут захотеть с человека как с нерезидента. но это мое предположение.
Мари
2025-04-11 10:47 UTC
Nekto
В теории - налоговая РФ, если очень захотят. На практике - не представляю, что должно их затриггерит...
Дело в том что в 2023 году. Точно нал резидент Кипра. После темная зона. В Испании ип открыто ровно в январе 2025. Чтобы чисто стать нал. резидентом. У Испании тоже нет повода претендовать на налоги)у России тем более
Oleg Reshetnikov
2025-04-11 10:47 UTC
Пожалуйста, не превращайте этот чат в ещё один ресурс обсуждений налогов эрэф...
Evangelina
2025-04-11 10:48 UTC
Может быть мне повезло , и это было удачное совпадение , а может в этом и есть секрет быстрого возвращения банковской гарантии : отправляете документы физически и в этот же день те же самые копии им на почту электронную . Я также попросила в электронном письме , чтобы они мне дали ответ , если они получили мои доки и все ок . И они ответили - в также попросили мой фактический адрес пребывания . Через месяц я еще раз написала , но в продолжение переписки , мол все ли хорошо , и когда я смогу получить письмо о возврате . Мне снова ответили в тот же день - что письма уже направили и чтобы я их ждала ( и видимо , чтобы больше не писала им )
В скором времени их доставили в ящик .
Возможно, здесь еще очень важно все документы положить ( я отправляла :заявления на возврат , заполненные от лица инвестора на каждого члена семьи ; копии пмж на каждого ; паспорта на каждого )
Почта : [email protected]
Адрес физический уже не помню , но он есть на официальном сайте миграции Никосии
Я думаю , что ничего сложно в этой процедуре нет и никакая помощь за деньги не нужна , только если вам просто хочется делегировать на кого-то эту рутину с бумагами :)
В скором времени их доставили в ящик .
Возможно, здесь еще очень важно все документы положить ( я отправляла :заявления на возврат , заполненные от лица инвестора на каждого члена семьи ; копии пмж на каждого ; паспорта на каждого )
Почта : [email protected]
Адрес физический уже не помню , но он есть на официальном сайте миграции Никосии
Я думаю , что ничего сложно в этой процедуре нет и никакая помощь за деньги не нужна , только если вам просто хочется делегировать на кого-то эту рутину с бумагами :)
Мари
2025-04-11 10:50 UTC
А можно где то почитать ,как получить серт по поводу 60 дней ,если понадобится?
Oleg Reshetnikov
2025-04-11 10:51 UTC
Мари
А можно где то почитать ,как получить серт по поводу 60 дней ,если понадобится?
В закрепе этого чата есть информация про Налоги на Кипре.
Пожалуйста, прочитайте.
Пожалуйста, прочитайте.
Мари
2025-04-11 10:51 UTC
Oleg Reshetnikov
В закрепе этого чата есть информация про Налоги на Кипре.
Пожалуйста, прочитайте.
Я уже читала. Спасибо
Oleg Reshetnikov
2025-04-11 10:51 UTC
Мари
Я уже читала. Спасибо
Вы изучили брошюру про налоги, верно?
Evangelina
Может быть мне повезло , и это было удачное совпадение , а может в этом и есть секрет быстрого возвр...
И еще в продолжение, может здесь все и просто , но я не могла разобраться некоторое время и спрашивала у многих в этой группе , как заполнять . Такое заявление приняли и вернули деньги
Evangelina
2025-04-11 11:02 UTC
Эти деньги и никуда не пропадали , ими просто раньше нельзя было воспользоваться . Они заморожены на счете у инвестора до тех пор ,пока вы не получите письмо от миграции о возврате . Они потом просто видны на счете , как деньги , которыми можно пользоваться , но мы из просто сняли
Olga
2025-04-11 11:04 UTC
Скажите пожалуйста, правда ли, что пока физически не будет пластика ВНЖ, нельзя пользоваться банковской картой и деньгами на ней? Если можно, то о каком банке речь? Где лучше оформить банковский счёт для внж?
Evgenii
2025-04-11 11:05 UTC
Nekto
В теории - налоговая РФ, если очень захотят. На практике - не представляю, что должно их затриггерит...
Не заявляться налоговым резидентом нигде - не самый лучший вариант. Налоговые декларации могут потребоваться для банков, внж, ... Чем объяснять пробел в декларациях, проще податься. Тем более что с зарплаты на Кипре налоги уже оплачены компанией
Mikhail Sobolev
2025-04-11 11:11 UTC
Nadine Stefanova
в РФ для целей НДФЛ не применяется понятие центр жизненных интересов.
обратной стороной неприятной, ...
Написал краткий комментарий в ответ на Ваш комментарий. Но его удалили.
Irina I
2025-04-11 11:13 UTC
Olga
Скажите пожалуйста, правда ли, что пока физически не будет пластика ВНЖ, нельзя пользоваться банковс...
Пользоваться можно, но не все банки откроют вам счёт без пластика внж
Vadim (ВАДИЧ)
2025-04-11 11:24 UTC
Мари
А можно где то почитать ,как получить серт по поводу 60 дней ,если понадобится?
Вам ноадо раслабиься и для тех кто просит показывать тот год где всё уплаченно и есть tax return. 2024 просто сказать что путешествовали. 2025 уже на новом месте всё.
60 дней вам не получить никак, это привилегия платить Кипрские налоги...
60 дней вам не получить никак, это привилегия платить Кипрские налоги...
Nekto
2025-04-11 11:28 UTC
Мари
А можно где то почитать ,как получить серт по поводу 60 дней ,если понадобится?
Процедура аналогичная обычной подаче по 183 дням, но добавляется факт доказывания, что вы жили больше 60 дней на Кипре, и меньше 183 дней в любой другой стране - вплоть до подсчёта штампов и скана всех страниц паспортов (паспорт нужен в оригинале в момент подачи). В случае одобрения, выдаётся для конкретного адресата (например, налоговые органы Испании). Можно самому податься, или через аудиторов - в департамент в городе проживания. Мы подавались неоднократно, но для людей, кто имел адрес и действующий внж на Кипре в момент подачи. В Вашем случае сложно сказать, если будет чем-то отличаться процедура.
p.s. соглашусь с вариантом @VadimCY
p.s. соглашусь с вариантом @VadimCY
Илона
2025-04-11 11:29 UTC
Olga
Скажите пожалуйста, правда ли, что пока физически не будет пластика ВНЖ, нельзя пользоваться банковс...
Единственные истории, которые я знаю про отсутствие пластика и проблемы с банком, это были истории блокировок счётов
Как верно написали ниже, открыть возможно, если банк дал добро и как правило подразумевается, что вы принесете пластик как только вам его выдадут. Проблема может возникнуть, если пластик будут делать долго; было довольно много историй в этом чате осенью, можете поискать по словам заблокировал / BoC
"Какой банк лучше" - очень индивидуально, если вам просто получать зарплату, то субъективно могу порекомендовать хелленик и НЕ рекомендую банк оф сайпрус, так как вторые открывают счета гражданам РБ/РФ только в IBU, а это много/большие комиссии в отличии от обычного счёта физ.лица
Как верно написали ниже, открыть возможно, если банк дал добро и как правило подразумевается, что вы принесете пластик как только вам его выдадут. Проблема может возникнуть, если пластик будут делать долго; было довольно много историй в этом чате осенью, можете поискать по словам заблокировал / BoC
"Какой банк лучше" - очень индивидуально, если вам просто получать зарплату, то субъективно могу порекомендовать хелленик и НЕ рекомендую банк оф сайпрус, так как вторые открывают счета гражданам РБ/РФ только в IBU, а это много/большие комиссии в отличии от обычного счёта физ.лица
Мари
2025-04-11 11:34 UTC
Vadim (ВАДИЧ)
Вам ноадо раслабиься и для тех кто просит показывать тот год где всё уплаченно и есть tax return. 20...
Спасибо. Не могу прикрепить бумагу которую удалось взять сейчас на работе.
ПІДТОПОІНТІКО АПОДОХ2N ГІА ТО ЕТОЕ 2024
Это является нал резидентском или нет?🙈
ПІДТОПОІНТІКО АПОДОХ2N ГІА ТО ЕТОЕ 2024
Это является нал резидентском или нет?🙈
Мари
2025-04-11 11:35 UTC
Я так понимаю это как 2ндфл
Уплаченных с января по июнь. Работодателем
Уплаченных с января по июнь. Работодателем
Vadim (ВАДИЧ)
2025-04-11 11:37 UTC
Мари
Я так понимаю это как 2ндфл
Уплаченных с января по июнь. Работодателем
Это pay slip наверно, я не понимаю :)
Мари
2025-04-11 11:38 UTC
Vadim (ВАДИЧ)
Это pay slip наверно, я не понимаю :)
EMOLUMENTS CERTIFICATE FOR THE YEAR 2024
Мари
2025-04-11 11:40 UTC
Vadim (ВАДИЧ)
Это pay slip наверно, я не понимаю :)
Почему вы говорите ,что не получить по 60 дней)я почитала пункты и они вроде как все подходят
Не проживать в другой в стране более 183
Не являться нал резидентом другой страны
Иметь связь с Кипром (работодатель на Кипре и остался тоже он)
Не проживать в другой в стране более 183
Не являться нал резидентом другой страны
Иметь связь с Кипром (работодатель на Кипре и остался тоже он)
Vadim (ВАДИЧ)
2025-04-11 11:46 UTC
Мари
Почему вы говорите ,что не получить по 60 дней)я почитала пункты и они вроде как все подходят
Не пр...
Подайтесь, посмотрите ответ.
https://t.me/cylaw/308711
Это все ок когда приехал, не успел стать налоговым резидентом но планируешь им стать - тогда проще.
Сейчас у вас не работы уже, ни жилья - задним числом...
Самое главное зачем?
Заплатить прогресивный налог на "другие доходы" который формально но не нужно платить?
https://t.me/cylaw/308711
Это все ок когда приехал, не успел стать налоговым резидентом но планируешь им стать - тогда проще.
Сейчас у вас не работы уже, ни жилья - задним числом...
Самое главное зачем?
Заплатить прогресивный налог на "другие доходы" который формально но не нужно платить?
Мари
2025-04-11 11:47 UTC
Vadim (ВАДИЧ)
Подайтесь, посмотрите ответ.
https://t.me/cylaw/308711
Это все ок когда приехал, не успел стать нал...
Меня больше беспокоить ,что Испания может принять как нал резидента , в отсутствии сертификата и захотеть деняк за весь год
Vadim (ВАДИЧ)
2025-04-11 11:48 UTC
Мари
Меня больше беспокоить ,что Испания может принять как нал резидента , в отсутствии сертификата и зах...
Вы получали доход из Испании?
Мари
2025-04-11 11:49 UTC
Vadim (ВАДИЧ)
Вы получали доход из Испании?
Нет. Но если я получаю доход находясь на территории Испании. Значит получаю доход)
Nadine Stefanova
2025-04-11 11:53 UTC
Мари
Нет. Но если я получаю доход находясь на территории Испании. Значит получаю доход)
вам нужно к налоговому консультанту, чат в вашем вопросе вам не поможет.
Мари
2025-04-11 11:54 UTC
Nadine Stefanova
вам нужно к налоговому консультанту, чат в вашем вопросе вам не поможет.
Почему?я услышала много ответов на свои вопросы. Ребятам спасибо большое за помощь
Boris
2025-04-11 12:04 UTC
Отчет: 10.04.2025 приняли документы и биометрию на Digital Nomad для меня и депендентов (жена и дочь <1года). Первая подача. Каждому дали ресит
Boris
2025-04-11 12:04 UTC
Boris
Отчет: 10.04.2025 приняли документы и биометрию на Digital Nomad для меня и депендентов (жена и дочь...
Все прошло хорошо, только почему-то сотрудник миграции, который посмотрел мою форму на входе, дал талон сначала в TCN General Counter (номера очереди 600+). Когда туда пришли, нам сказали, что не тот отдел. Мы пришли обратно на вход, попросили талон в отдел BCS (номера очереди 200+), благо его без проблем дали
Ivan Fiodarau
2025-04-11 12:05 UTC
Boris
Все прошло хорошо, только почему-то сотрудник миграции, который посмотрел мою форму на входе, дал та...
два года назад они не знали какой талон давать, так и осталось :)
Olga Faizova
2025-04-11 12:08 UTC
NightWatch
нет
А где то можно посмотреть список на продление? Просмотрела всё, что на сайте миграции и там в списке справка есть и юрист говорит что нужна
NightWatch
2025-04-11 12:10 UTC
Olga Faizova
А где то можно посмотреть список на продление? Просмотрела всё, что на сайте миграции и там в списке...
а можно сюда скриншот этого списка документов на продление с сайта миграции?
NightWatch
а можно сюда скриншот этого списка документов на продление с сайта миграции?
No text content
Sugar Queen
2025-04-11 12:11 UTC
Мари
Ребята привет. Очень надеюсь на немного помощи🙌работала в найме на Кипре почти год. Работадатель пла...
Если не ошибаюсь, чтобы выбрать кипрское резидентство по правилу 60 дней, надо быть трудоустроенным на 31.12.2024.
Мари
2025-04-11 12:12 UTC
Sugar Queen
Если не ошибаюсь, чтобы выбрать кипрское резидентство по правилу 60 дней, надо быть трудоустроенным ...
Поняла. Спасибо
Yana
2025-04-11 12:13 UTC
Olga Faizova
Добрый день. На продление пинк слипа ребенку нужно проходить снова медосмотр?
Не нужно 100%. Я тоже видела этот пункт в списке, но документы на продление принимают и без мед справки.
А вот для первой подачи эта справка нужна.
А вот для первой подачи эта справка нужна.
NightWatch
2025-04-11 12:14 UTC
Olga Faizova
No text
это не список на продление, а список на первую подачу после прибытия на Кипр
Olga Faizova
2025-04-11 12:14 UTC
Yana
Не нужно 100%. Я тоже видела этот пункт в списке, но документы на продление принимают и без мед спра...
Спасибо, очень надеюсь что примут, в госпитале фамагусты очередь на эту справку до конца апреля расписана.
Olga Faizova
2025-04-11 12:14 UTC
NightWatch
это не список на продление, а список на первую подачу после прибытия на Кипр
Там написано renewal
NightWatch
2025-04-11 12:15 UTC
Olga Faizova
Там написано renewal
нет, это просто заголовок, список renewal идёт дальше в документе и там нет медсправки
Olga Faizova
2025-04-11 12:16 UTC
NightWatch
нет, это просто заголовок, список renewal идёт дальше в документе и там нет медсправки
Не нашла, там четыре страницы и список только этот
NightWatch
2025-04-11 12:17 UTC
Olga Faizova
Не нашла, там четыре страницы и список только этот
действительно так
похоже мигрейшен ошибся и загрузил неполный документ
похоже мигрейшен ошибся и загрузил неполный документ
NightWatch
2025-04-11 12:19 UTC
Olga Faizova
Не нашла, там четыре страницы и список только этот
они там все ошибочные
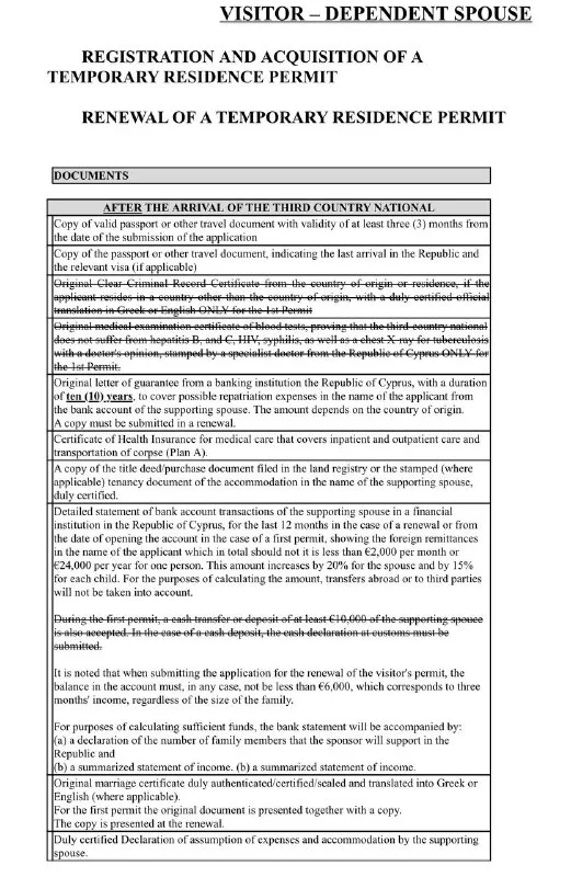
2 VISITOR.docx
3 Dep Spouse.docx
5_Dep_Minor_20112024.docx
2 VISITOR.docx
3 Dep Spouse.docx
5_Dep_Minor_20112024.docx
VladCypr
2025-04-11 12:20 UTC
Yana Arsyutina (Naumova)
привет!
а у кого был опыт с марками через налоговую на допник к трудовому договору в Лимассоле и Лар...
В Лимасоле, обычно 3 рабочих дня занимает. Да, иногда шли на встречу, и сами на месте делали расчет.
Думаю, если вам срочно, то можете сделать расчет онлайн и на месте попросить их ускориться (объясните ,что сроки горят).
В Лимасоле адекватные сотрудники работают, часто идут навстречу.
Думаю, если вам срочно, то можете сделать расчет онлайн и на месте попросить их ускориться (объясните ,что сроки горят).
В Лимасоле адекватные сотрудники работают, часто идут навстречу.
Olga Faizova
2025-04-11 12:20 UTC
NightWatch
действительно так
похоже мигрейшен ошибся и загрузил неполный документ
А где посмотреть полный? В законе?
Oleg Reshetnikov
2025-04-11 12:23 UTC
Olga Faizova
Добрый день. На продление пинк слипа ребенку нужно проходить снова медосмотр?
Нет. В закрепе этого чата есть информация про это
Olga Faizova
2025-04-11 12:25 UTC
Oleg Reshetnikov
Нет. В закрепе этого чата есть информация про это
Я весь закреп изучила и со всех ссылок скачала документы. Ткните мне пожалуйста где смотреть?
Olga Faizova
Я весь закреп изучила и со всех ссылок скачала документы. Ткните мне пожалуйста где смотреть?
No text content
NightWatch
2025-04-11 12:26 UTC
Olga Faizova
А где посмотреть полный? В законе?
@Olga_Isser А можно попросить мигрейшен исправить файлы со списками документов для visitors (списки не полные)?
Olga Faizova
Я весь закреп изучила и со всех ссылок скачала документы. Ткните мне пожалуйста где смотреть?
No text content
Olga Faizova
Я весь закреп изучила и со всех ссылок скачала документы. Ткните мне пожалуйста где смотреть?
Уже неоднократно подавали на продление (пинк слип - визитор) с этим списком. Все ок.
Olga Faizova
Я весь закреп изучила и со всех ссылок скачала документы. Ткните мне пожалуйста где смотреть?
No text content
VladCypr
2025-04-11 12:32 UTC
Nadine Stefanova
в РФ для целей НДФЛ не применяется понятие центр жизненных интересов.
обратной стороной неприятной, ...
А насчет украины в отношении Кипра не подскажете (если знаете)?
VladCypr
2025-04-11 12:35 UTC
Имейте в виду, что относительно короткий срок связан со сменой статуса на ПМЖ.
По возврату из-за выезда, например, сроки намного дольше (вплоть до года, иногда).
По возврату из-за выезда, например, сроки намного дольше (вплоть до года, иногда).
Nadine Stefanova
2025-04-11 12:37 UTC
VladCypr
А насчет украины в отношении Кипра не подскажете (если знаете)?
я не являюсь налоговым консультантом по налогам Кипра, поэтому не подскажу.
Olga Faizova
2025-04-11 12:45 UTC
Супер, сейчас посмотрю ее. Она там же на сайте миграции?
Nick Volynkin
2025-04-11 12:45 UTC
Подскажите, для расчета налогов и геси, если доходы в долларах, по какому курсу их переводить в евро? Полагаю, что должен быть какой-то курс, установленный налоговой инспекцией на каждый месяц.
VladCypr
2025-04-11 12:48 UTC
Olga Faizova
Супер, сейчас посмотрю ее. Она там же на сайте миграции?
и на английском тоже -
"Original medical examination certificate of blood tests, proving that the third-country national does not suffer from hepatitis B, and C, HIV, syphilis, as well as a chest X-ray for tuberculosis with a doctor's opinion, stamped by a specialist doctor from the Republic of Cyprus ONLY for the 1st Permit."
"Original medical examination certificate of blood tests, proving that the third-country national does not suffer from hepatitis B, and C, HIV, syphilis, as well as a chest X-ray for tuberculosis with a doctor's opinion, stamped by a specialist doctor from the Republic of Cyprus ONLY for the 1st Permit."
Vladislav Myakishev
2025-04-11 12:49 UTC
Nick Volynkin
Подскажите, для расчета налогов и геси, если доходы в долларах, по какому курсу их переводить в евро...
Есть курс, который правительство Кипра устанавливает на каждый месяц. Гуглится довольно быстро сайт. Я таким пользовался.
Olga Faizova
2025-04-11 12:50 UTC
VladCypr
Это старая версия
Ну вот я пытаюсь найти новую на сайте хоть на каком то языке, а то моя юристка уперлась и все, говорит не пойдет со мной, а у нее все документы с работы моей.
Vladislav Myakishev
Есть курс, который правительство Кипра устанавливает на каждый месяц. Гуглится довольно быстро сайт....
📎 Webpage (not supported)
VladCypr
2025-04-11 12:51 UTC
Olga Faizova
Ну вот я пытаюсь найти новую на сайте хоть на каком то языке, а то моя юристка уперлась и все, говор...
Если сейчас зайдете на сайт - там уже новые версии. Как на греческом, так и на англ.
Явно указывается, что мед.экзамены ONLY for the 1st Permit.
Явно указывается, что мед.экзамены ONLY for the 1st Permit.
Olga Faizova
Ну вот я пытаюсь найти новую на сайте хоть на каком то языке, а то моя юристка уперлась и все, говор...
📎 Webpage (not supported)
Nick Volynkin
2025-04-11 12:52 UTC
NightWatch
вот что находится
https://www.mof.gov.cy/mof/tax/taxdep.nsf/page23_en/page23_en?opendocument
спасибо! доход каждого месяца пересчитываем по курсу на этот месяц, верно?
NightWatch
2025-04-11 12:52 UTC
Nick Volynkin
спасибо! доход каждого месяца пересчитываем по курсу на этот месяц, верно?
я не спец. по налогам, но, вероятно, нужен курс на дату получения дохода
Olga Faizova
2025-04-11 12:52 UTC
VladCypr
https://www.mip.gov.cy/dmmip/md.nsf/All/266D24DCF6C1B3FFC22589040040A8C3?OpenDocument
Я там же смотрю, мне нужен список visitor minor dependent. Ко мне у нее нет претензий
NightWatch
2025-04-11 12:53 UTC
Olga Faizova
Я там же смотрю, мне нужен список visitor minor dependent. Ко мне у нее нет претензий
оффтоп, но юрист у вас не очень
Olga Faizova
2025-04-11 12:54 UTC
NightWatch
оффтоп, но юрист у вас не очень
Знаю... К сожалению моя компания работает только с ней и много лет 🤷♀️
VladCypr
2025-04-11 12:54 UTC
Olga Faizova
Я там же смотрю, мне нужен список visitor minor dependent. Ко мне у нее нет претензий
Да, по видимому, забыли обновить.
В любом случае, там же указано, что мед.анализы требуются на всех членов семьи.
А так как, по родителям не требуется повторно, то по какой логике будет требоваться по ребенку?
То есть, очевидно, что просто забыли обновить список.
В любом случае, там же указано, что мед.анализы требуются на всех членов семьи.
А так как, по родителям не требуется повторно, то по какой логике будет требоваться по ребенку?
То есть, очевидно, что просто забыли обновить список.
VladCypr
2025-04-11 12:57 UTC
Olga Faizova
Знаю... К сожалению моя компания работает только с ней и много лет 🤷♀️
В таком случае, если уперлась и никак не сдвинуть с места, то придется проходить..либо сами подавайтесь, отдельно, если это для вас принципиально
Olga Faizova
2025-04-11 12:58 UTC
VladCypr
В таком случае, если уперлась и никак не сдвинуть с места, то придется проходить..либо сами подавайт...
Мы его прошли в частной клинике, теперь надо заверить. Раньше в фамагусте пришёл и тебе за 15 минут заверили. Теперь у них очередь.. И я не успею до appointment. Не знаете как в Ларнаке с очередью дело?
Paulina
2025-04-11 12:59 UTC
Olga Faizova
Ну вот я пытаюсь найти новую на сайте хоть на каком то языке, а то моя юристка уперлась и все, говор...
Заберите документы и поменяйте юриста
VladCypr
2025-04-11 13:00 UTC
Olga Faizova
Мы его прошли в частной клинике, теперь надо заверить. Раньше в фамагусте пришёл и тебе за 15 минут ...
Не подскажу(
Как вариант, можете сами продлить без ее участия.
Правда, не совсем понял, как эта категория связана с работодателем на Кипре
Как вариант, можете сами продлить без ее участия.
Правда, не совсем понял, как эта категория связана с работодателем на Кипре
Olga Faizova
2025-04-11 13:01 UTC
VladCypr
Не подскажу(
Как вариант, можете сами продлить без ее участия.
Правда, не совсем понял, как эта кате...
У меня рабочий пермит GEN который, а ребенка как minor visitor dependent подают
Nick Volynkin
2025-04-11 13:03 UTC
NightWatch
я не спец. по налогам, но, вероятно, нужен курс на дату получения дохода
Бухгалтер утверждает, что по курсу 31 декабря 2024 года. Мне кажется, что бухгалтер гонит.
VladCypr
2025-04-11 13:03 UTC
Olga Faizova
У меня рабочий пермит GEN который, а ребенка как minor visitor dependent подают
Так если все доки готовы, просто поговорите с начальством, что тупо не успеваете сделать анализы и есть риск разрыва.
Какая им разница, сами вы будете подавать или с юристом компании?
Какая им разница, сами вы будете подавать или с юристом компании?
VladCypr
2025-04-11 13:08 UTC
Olga Faizova
Мы его прошли в частной клинике, теперь надо заверить. Раньше в фамагусте пришёл и тебе за 15 минут ...
Либо попробуйте объяснить ситуацию и успеть заверить в больнице.
Nick Volynkin
спасибо! доход каждого месяца пересчитываем по курсу на этот месяц, верно?
📎 Webpage (not supported)
Вообще есть варианты:
1. на момент образования дохода (выставил Invoice)
2. На момент получения.
3. На 31.12.
https://www.ecb.europa.eu/stats/policy_and_exchange_rates/euro_reference_exchange_rates/html/eurofxref-graph-usd.en.html
1. на момент образования дохода (выставил Invoice)
2. На момент получения.
3. На 31.12.
https://www.ecb.europa.eu/stats/policy_and_exchange_rates/euro_reference_exchange_rates/html/eurofxref-graph-usd.en.html
VladCypr
2025-04-11 13:10 UTC
Olga Faizova
У меня рабочий пермит GEN который, а ребенка как minor visitor dependent подают
По этой категории не знаю, пусть знатоки подскажут.
Возможно, что и бюрократия побеждает, и, действительно, требуют каждый год. Хотя и не логично.
С другой стороны, бюрократия часто нелогична.
Возможно, что и бюрократия побеждает, и, действительно, требуют каждый год. Хотя и не логично.
С другой стороны, бюрократия часто нелогична.
Vasily C.
2025-04-11 13:17 UTC
Olga Faizova
Ну вот я пытаюсь найти новую на сайте хоть на каком то языке, а то моя юристка уперлась и все, говор...
Забирайте у неё документы и идите без неё.
Платить "специалисту", который не в теме по элементарным моментам - странная затея.
Платить "специалисту", который не в теме по элементарным моментам - странная затея.
xilo
2025-04-11 13:17 UTC
Всем привет!! очень нужна ваша помощь!
подскажите пожалуйста, кто то получал справку об отсутствии судимости в посольстве РФ на Кипре для продления вмж? Если да, то напишите мне пожалуйста🙏🏼🙏🏼🩵
подскажите пожалуйста, кто то получал справку об отсутствии судимости в посольстве РФ на Кипре для продления вмж? Если да, то напишите мне пожалуйста🙏🏼🙏🏼🩵
Oleg Reshetnikov
2025-04-11 13:18 UTC
VladCypr
По этой категории не знаю, пусть знатоки подскажут.
Возможно, что и бюрократия побеждает, и, действи...
Не требуют. Пожалуйста, остановитесь.
Oleg Reshetnikov
2025-04-11 13:19 UTC
xilo
Всем привет!! очень нужна ваша помощь!
подскажите пожалуйста, кто то получал справку об отсутствии ...
В закрепе этого чата есть информация про справки о несудимости.
Ksenia Aleeva
2025-04-11 14:13 UTC
Кто знает, могу я отдать свой аппоинтмент на подачу шенгена кому то еще? Франция( указывала мои ФИО и дату рождения)
Andrei Shestakov
2025-04-11 14:38 UTC
Ksenia Aleeva
Кто знает, могу я отдать свой аппоинтмент на подачу шенгена кому то еще? Франция( указывала мои ФИО ...
Нет, они строго сверяют на входе. Нужно отменить через сайт (не помню, можно ли там поменять ФИО), чтобы слот освободился для кого-то ещё.
Друзья, я знаю, что тут много писалось о мошенничистве/скаме. Нужна была помощь адвоката, написали в личку. Я знаю, что сам дурак и повелся. В итоге человек месяцами водил меня за нос.
Я был сам дураком, когда контакт в Революте и Сбере не совпал по фамилии и человек начал предлагать крипту. Жалко не потраченные деньги, а время. На всякий случай выложу контакт, чтобы другие не попались.
И важная деталь при выборе услуг: у человека должен быть физический адрес на Кипре и телефон. Все эти удаленные консультации - от лукавого. В особенности, когда контакт удаленной оплаты не совпадает.
Я был сам дураком, когда контакт в Революте и Сбере не совпал по фамилии и человек начал предлагать крипту. Жалко не потраченные деньги, а время. На всякий случай выложу контакт, чтобы другие не попались.
И важная деталь при выборе услуг: у человека должен быть физический адрес на Кипре и телефон. Все эти удаленные консультации - от лукавого. В особенности, когда контакт удаленной оплаты не совпадает.
Oleg Reshetnikov
2025-04-11 14:44 UTC
Нет никаких удалённых кипрских адвокатов, тем более с оплатой на сбер.
Только зарегистрированные юристы могут работать на Кипре.
Не надо общаться с мошенниками, не надо им платить.
Не надо плиз в чат публиковать про каждый случай.
И обязательно оставляйте жалобу, вот тут есть заявление по ссылке.
https://www.gov.cy/en/service/reporting-information-or-complaint-on-cybercrime-issues/
Только зарегистрированные юристы могут работать на Кипре.
Не надо общаться с мошенниками, не надо им платить.
Не надо плиз в чат публиковать про каждый случай.
И обязательно оставляйте жалобу, вот тут есть заявление по ссылке.
https://www.gov.cy/en/service/reporting-information-or-complaint-on-cybercrime-issues/
Sergey
2025-04-11 14:44 UTC
Мари
Почему вы говорите ,что не получить по 60 дней)я почитала пункты и они вроде как все подходят
Не пр...
Там ещё про жильё есть пунктик, вроде. А не только работодатель на Кипре.
Sugar Queen
2025-04-11 14:46 UTC
Nick Volynkin
Бухгалтер утверждает, что по курсу 31 декабря 2024 года. Мне кажется, что бухгалтер гонит.
Наши всегда так и считают. И для юр.лица и для физиков. Аудиторы согласны.
Dmitry Sav
2025-04-11 14:48 UTC
Oleg Reshetnikov
Нет никаких удалённых кипрских адвокатов, тем более с оплатой на сбер.
Только зарегистрированные юри...
Я хотел лишний раз поделиться своим опытом. Быть может это будет кому-нибудь полезно. Спорить не буду. Ваш чат, считаете нужным, удаляйте.
Irina
2025-04-11 15:11 UTC
Dmitry Sav
Друзья, я знаю, что тут много писалось о мошенничистве/скаме. Нужна была помощь адвоката, написали в...
И уже это фото было в этом чате с жалобой
sudo (☀️,☀️)
2025-04-11 15:19 UTC
Dmitry Sav
Друзья, я знаю, что тут много писалось о мошенничистве/скаме. Нужна была помощь адвоката, написали в...
Большое спасибо. Очень помогло. Сам чуть не повелся...
Alina
2025-04-11 15:24 UTC
Dmitry Sav
Друзья, я знаю, что тут много писалось о мошенничистве/скаме. Нужна была помощь адвоката, написали в...
Тоже проходили этот урок. Добавлю, что этот человек, предоставляет номер якобы кипрской юридической лицензии)
Dmitry Sav
2025-04-11 15:48 UTC
Alina
Тоже проходили этот урок. Добавлю, что этот человек, предоставляет номер якобы кипрской юридической ...
И самое главное, пришлось паспорта менять, сообщать о пропаже, делать самозапрет на взятие кредитов и переезжать в другой район, прежде чем я решился сюда написать. Хуже всего скомпроментировать свои личные данные, высылая их непонятным людям.
Кстати, товарищ в течение минуты перезвонил и начал мне угрожать проблемами и рассказывать, что не видел мои 20+ звонков и его якобы самого кинули 🙂 Судя по всему, у мошенников висит бот, который мониторит сообщения. Потом посыпались звонки с разных номеров.
Очень надеюсь, что моя глупость многим послужит хорошим уроком, хоть Олег и не одобряет замусоривание чата подобными сообщениями и предостережения висят в закрепе.
Кстати, товарищ в течение минуты перезвонил и начал мне угрожать проблемами и рассказывать, что не видел мои 20+ звонков и его якобы самого кинули 🙂 Судя по всему, у мошенников висит бот, который мониторит сообщения. Потом посыпались звонки с разных номеров.
Очень надеюсь, что моя глупость многим послужит хорошим уроком, хоть Олег и не одобряет замусоривание чата подобными сообщениями и предостережения висят в закрепе.
Galina
2025-04-11 16:07 UTC
Dmitry Sav
Друзья, я знаю, что тут много писалось о мошенничистве/скаме. Нужна была помощь адвоката, написали в...
Тоже с ним общалась (задала вопрос в этом чате, мне написали ответ в личку и в ходе беседы порекомендовали вот этого юриста). Мне кажется, имеет смысл тут писать, т.к. жертв они черпают именно из чата
Maxim Larionov
2025-04-11 16:15 UTC
Вопрос.
А если утерял разрешение на покупку квартиры (я и не думал, что оно может понадобиться), как его восстановить?
Как это долго по срокам?
А если утерял разрешение на покупку квартиры (я и не думал, что оно может понадобиться), как его восстановить?
Как это долго по срокам?
Dmitry Sav
2025-04-11 16:16 UTC
Galina
Тоже с ним общалась (задала вопрос в этом чате, мне написали ответ в личку и в ходе беседы порекомен...
А в личку и пишут эти мошенники якобы с рекомендациями. Причем контакты профессионально сделанные: якобы программист или молодая мать одиночка. Ко всем этим “рекомендациям” в личку надо относиться особенно осторожно и лучше ориентироваться на то, что пишут именно в этот чат.
Sugar Queen
2025-04-11 16:19 UTC
Maxim Larionov
Вопрос.
А если утерял разрешение на покупку квартиры (я и не думал, что оно может понадобиться), как...
Оригинал забирают в land registry, можно наверное, копию выпросить там.
Galina
2025-04-11 16:20 UTC
Dmitry Sav
А в личку и пишут эти мошенники якобы с рекомендациями. Причем контакты профессионально сделанные: я...
А еще лучше - искать рекомендации от лично знакомых людей, чтобы наверняка
Natalia
2025-04-11 16:41 UTC
Добрый вечер! Подскажите, пожалуйста, насколько реально оформить однополого партнера в качестве депенданта (без зарегистрированного союза) к BCS пермиту? Что нужно иметь в качестве доказательства сожительства и за какой срок?
Vasily C.
2025-04-11 16:50 UTC
Alina
Тоже проходили этот урок. Добавлю, что этот человек, предоставляет номер якобы кипрской юридической ...
Ага, и телефонный номер с кодом +995... :)
Alina
2025-04-11 16:53 UTC
Vasily C.
Ага, и телефонный номер с кодом +995... :)
Все мы очень внимательные, когда не ищем помощи в безвыходном положении)
Pavel
2025-04-11 16:53 UTC
Vasily C.
Ага, и телефонный номер с кодом +995... :)
Так еще лиса Алиса с котом пели в советском фильме о людях, которые ведутся на такие сообщения в личке:))
Jacson
2025-04-11 17:04 UTC
А кто подскажет, если увольняют одним днем(bcs) а ты при этом не на Кипре, как быстро work permit превратится в тыкву на паспортном контроле на влете?
День или два хотя бы есть? (
День или два хотя бы есть? (
Irina
2025-04-11 17:06 UTC
Jacson
А кто подскажет, если увольняют одним днем(bcs) а ты при этом не на Кипре, как быстро work permit пр...
Одним днем по закону уволить нельзя, если вы не на испытательном сроке еще
Inga Shaikhutdinova
2025-04-11 17:06 UTC
Irina
Одним днем по закону уволить нельзя, если вы не на испытательном сроке еще
Кто сказал это
Jacson
2025-04-11 17:08 UTC
Irina
Одним днем по закону уволить нельзя, если вы не на испытательном сроке еще
В договоре есть пункт что работодатель может выплатить деньги за месяц вперед и уволить одним днем.
Dmitry Yurkin
2025-04-11 17:12 UTC
Jacson
В договоре есть пункт что работодатель может выплатить деньги за месяц вперед и уволить одним днем.
если Вы въедите на Кипр, то с даты увольнения у Вас есть 30 дней (если на карточке дата окончания не раньше, если раньше -- то до даты окончания). Надо или найти работодателя, или податься на Visitor
Vasily C.
2025-04-11 17:15 UTC
Irina
Одним днем по закону уволить нельзя, если вы не на испытательном сроке еще
До 26 недель - можно просто сказать "спасибо, вы свободны".
И, кроме того, нужно смотреть, что по этому поводу написано в договоре, который вы подписали. Конечно, явно противозаконные положения договора можно попробовать оспорить в суде, но...
И, кроме того, нужно смотреть, что по этому поводу написано в договоре, который вы подписали. Конечно, явно противозаконные положения договора можно попробовать оспорить в суде, но...
Irina
2025-04-11 17:19 UTC
Inga Shaikhutdinova
Кто сказал это
Трудовое законодательство Кипра :) существует четкий перечень оснований, по которым можно уволить и определенная процедура увольнения. Все остальное можно оспорить в суде, начав с жалобы в labour office за unlawful dismissal 🤗
Paulina
2025-04-11 17:19 UTC
Natalia
Добрый вечер! Подскажите, пожалуйста, насколько реально оформить однополого партнера в качестве депе...
Так же реально и все то же самое, что и к любому партнеру. Инфа есть в закрепе
Vasily C.
2025-04-11 17:20 UTC
Irina
Трудовое законодательство Кипра :) существует четкий перечень оснований, по которым можно уволить и ...
Именно.
Поэтому уволить в течение первых 26 недель довольно легко.
Поэтому уволить в течение первых 26 недель довольно легко.
Irina
2025-04-11 17:23 UTC
Vasily C.
Именно.
Поэтому уволить в течение первых 26 недель довольно легко.
Да, я юрист) прекрасно знакома с труд законодательством Кипра 🤗 понятно , что от топик стартера надо больше вводных , но в целом хорошо знать свои права по закону , чтобы было чем апеллировать )
Vasily C.
2025-04-11 17:24 UTC
Irina
Да, я юрист) прекрасно знакома с труд законодательством Кипра 🤗 понятно , что от топик стартера надо...
Не сомневаюсь, видел ваш профиль не только здесь :)
Jacson
2025-04-11 17:24 UTC
Irina
Да, я юрист) прекрасно знакома с труд законодательством Кипра 🤗 понятно , что от топик стартера надо...
Но вы согласитесь, если топикстартер даже не въедет на Кипр то все усложняется с аппелированием и прочим?
Talia
2025-04-11 17:25 UTC
Paulina
Так же реально и все то же самое, что и к любому партнеру. Инфа есть в закрепе
А за какой срок нужно предоставить доказательства? За 1 или 2 года? Не смогла нигде найти по офиц.источникам
Paulina
2025-04-11 17:25 UTC
Talia
А за какой срок нужно предоставить доказательства? За 1 или 2 года? Не смогла нигде найти по офиц.ис...
За год минимум
Irina
2025-04-11 17:29 UTC
Jacson
Но вы согласитесь, если топикстартер даже не въедет на Кипр то все усложняется с аппелированием и пр...
Конечно) я исключительно про положения закона писала. Не находясь здесь физически, сложно что -то предпринять. Но все начинается с разговора ведь - уверенно дать понять, что ты знаешь закон и свои права и готов их отстаивать, может помочь изменить хотя бы условия для увольнения 😉
Карина
При подаче на шенген визу в испанское посольство, кто-нибудь не покупал авиабилеты, они сами пишут, ...
📎 Webpage (not supported)
Сегодня подавались с бронью билетов https://www.euroavia.ru/
Нашли здесь по чату этот сервис, но есть аналоги. Документы приняли, а будет ли решение положительным - покажет время)
Нашли здесь по чату этот сервис, но есть аналоги. Документы приняли, а будет ли решение положительным - покажет время)
Карина
2025-04-11 17:34 UTC
Julia Efimova
Сегодня подавались с бронью билетов https://www.euroavia.ru/
Нашли здесь по чату этот сервис, но ес...
Расскажите потом, насколько и какую дали)
Карина
2025-04-11 17:36 UTC
Denis
да, там указано, что оплатите до такой то даты и что уплачена только малая часть.
А вам дали в итоге визу на сколько?)
Denis
2025-04-11 17:42 UTC
Карина
А это ваша первая виза испанская?
Испанская да. Шенген был, но уже какое то время назад.
Карина
2025-04-11 17:42 UTC
Denis
Испанская да. Шенген был, но уже какое то время назад.
Поняла, спасибо вам!
NightWatch
2025-04-11 18:36 UTC
Jacson
А кто подскажет, если увольняют одним днем(bcs) а ты при этом не на Кипре, как быстро work permit пр...
как только ваш работодатель известит мигрейшен - внж аннурируют
Victor Nickolaev
2025-04-11 18:49 UTC
Добрый день. А визу в паспорт старого образца без пробел получить на кипр?
Kate 🐒 выбирает стикер…
2025-04-11 19:26 UTC
Добрый вечер, я въехала на Кипр по тур визе в декабре 2024, устроилась здесь в bcs компанию в феврале 2025. До этого резидентом Кипра не была. Делаю первый ВНЖ рабочий. Бухгалтерия сообщила мне, что налоговая льгота 20% в этом году мне не положена, но будет положена в следющем “если будут соблюдены все условия”. Я нигде не встречала информации, что в первый год льготы нет. Кто-то сталкивался с таким или бухгалтера где-то накосячили?
Vadim
2025-04-11 19:29 UTC
Добрый вечер всем!
Кто может подсказать надежный сайт для страхования автомобиля на Кипре?
Заранее благодарю)
Кто может подсказать надежный сайт для страхования автомобиля на Кипре?
Заранее благодарю)
Vadim
2025-04-11 19:33 UTC
Vadim
Добрый вечер всем!
Кто может подсказать надежный сайт для страхования автомобиля на Кипре?
Заранее б...
Возможно задал некорректный вопрос:
На каком сайте можно сравнить цены и подобрать страховую компанию для страхования автомобиля на Кипре?
На каком сайте можно сравнить цены и подобрать страховую компанию для страхования автомобиля на Кипре?
Sugar Queen
2025-04-11 19:38 UTC
Kate 🐒 выбирает стикер…
Добрый вечер, я въехала на Кипр по тур визе в декабре 2024, устроилась здесь в bcs компанию в феврал...
20% вычет полагается со следующего года после трудоустройства.
📎 Webpage (not supported)
Подскажите, пожалуйста, на какой из официальных ресурсов следует опираться в первую очередь при подготовке документов для подачи заявления на шенгенскую визу в Италию:
- портал Visa for Italy
https://vistoperitalia.esteri.it/home/en#BMTitolo
Или
- веб-сайт Посольства Италии в Никосии.
https://ambnicosia.esteri.it/en/servizi-consolari-e-visti/servizi-per-il-cittadino-straniero/visti/tourism/
К примеру:
На портале Visa for Italy указано:
"обратный билет (или бронирование), либо доказательства наличия собственного транспорта у заявителя"
В то же время на сайте посольства, в пункте 6, говорится:
"Полностью оплаченные билеты в обе стороны. Если вы путешествуете по нескольким странам Шенгенской зоны, необходимо предоставить билеты на все перемещения через границы."
Так же интересно на счёт бронирования отеля, есть забронировать а потом после одобрения отменить и выбрать другой, не будет ли проблем.
Примут ли апостильривонное и переведенное на английский в России свидетельство о браке. Или обязательно должен перевести местный сертифицированный переводчик?
- портал Visa for Italy
https://vistoperitalia.esteri.it/home/en#BMTitolo
Или
- веб-сайт Посольства Италии в Никосии.
https://ambnicosia.esteri.it/en/servizi-consolari-e-visti/servizi-per-il-cittadino-straniero/visti/tourism/
К примеру:
На портале Visa for Italy указано:
"обратный билет (или бронирование), либо доказательства наличия собственного транспорта у заявителя"
В то же время на сайте посольства, в пункте 6, говорится:
"Полностью оплаченные билеты в обе стороны. Если вы путешествуете по нескольким странам Шенгенской зоны, необходимо предоставить билеты на все перемещения через границы."
Так же интересно на счёт бронирования отеля, есть забронировать а потом после одобрения отменить и выбрать другой, не будет ли проблем.
Примут ли апостильривонное и переведенное на английский в России свидетельство о браке. Или обязательно должен перевести местный сертифицированный переводчик?
194 messages on this day