Channels / Cyprus_iT chat
Cyprus_iT chat
@badcyprus · supergroup
Marina Petrunia
2022-04-23 04:55 UTC
Αικατερίνη Fox
Сначала орали на всю улицу прекрасное далеко, потом был лесной олень ещё. Теперь Меладзе на всю улиц...
Это вам ещё повезло) у нас прям возле дома уже вторую неделю собирается огромная компаниЯ Киприотов жгут костры, кидают туда петарды и орут до 4 утра, спать невозможно. На просьбы не реагируют. И как нам все говорят - полицию вызвать бессмысленно, это они так Пасху отмечают. Так что нет, киприоты соседей тоже не уважают
Вадич (Но это не точно ©)
2022-04-23 05:08 UTC
Marina Petrunia
Это вам ещё повезло) у нас прям возле дома уже вторую неделю собирается огромная компаниЯ Киприотов...
Не у важают отдельно взятые люди, не надо всех под одну гребёнку.
Marina Petrunia
2022-04-23 05:13 UTC
Вадич (Но это не точно ©)
Не у важают отдельно взятые люди, не надо всех под одну гребёнку.
Ну когда отдельно взятые люди это человек 50 от 16 до 50 лет, трудно не гребсти всех в одно.
Вадич (Но это не точно ©)
2022-04-23 05:16 UTC
Marina Petrunia
Ну когда отдельно взятые люди это человек 50 от 16 до 50 лет, трудно не гребсти всех в одно.
Это как ругаться на церковный звон живя около церкви или призыв на молитвы от Муэдзи́на у мечети.
У меня вокруг живёт много Киприотов и всё ок. Видимо у вас какое-то место такое :(
У меня вокруг живёт много Киприотов и всё ок. Видимо у вас какое-то место такое :(
D4 𝐃𝐞𝐧𝐢𝐬 𝐂𝐡𝐞𝐭𝐯𝐞𝐫𝐢𝐤𝐨𝐯 🇨🇾
2022-04-23 05:20 UTC
Друзья, только не начинайте хэйтить,
У нас много тематичесих чатов, а для серьёзных знакомств чатов нет ещё😁
Ну мы тут многие семейные💍
Вчера общался с партнёром англичанин Richard, рассказал ему про наше IT community в телеге,
хочет познакомиться с девушкой для создания семьи.
Ну я его в tinder отправил, он говорит там не для серьёзных отношений😁
Соглашусь😁
Каким-то ресурсом кто-то пользуется , есть опыт?
Чат такой тематики наверное не совсем правильно будет создавать 😁🙈
У нас много тематичесих чатов, а для серьёзных знакомств чатов нет ещё😁
Ну мы тут многие семейные💍
Вчера общался с партнёром англичанин Richard, рассказал ему про наше IT community в телеге,
хочет познакомиться с девушкой для создания семьи.
Ну я его в tinder отправил, он говорит там не для серьёзных отношений😁
Соглашусь😁
Каким-то ресурсом кто-то пользуется , есть опыт?
Чат такой тематики наверное не совсем правильно будет создавать 😁🙈
Nadine Stefanova
2022-04-23 05:23 UTC
D4 𝐃𝐞𝐧𝐢𝐬 𝐂𝐡𝐞𝐭𝐯𝐞𝐫𝐢𝐤𝐨𝐯 🇨🇾
Друзья, только не начинайте хэйтить,
У нас много тематичесих чатов, а для серьёзных знакомств чатов...
Самый эффективный способ: написать знакомой участнице женской группы, чтобы она разместила пост там с указанием контакта страждущего. А может ваша жена это сделает, если жена есть.
Конечно если админы в группе пост пропустят.
Видела такие посты и даже с успешным результатом.
Конечно если админы в группе пост пропустят.
Видела такие посты и даже с успешным результатом.
D4 𝐃𝐞𝐧𝐢𝐬 𝐂𝐡𝐞𝐭𝐯𝐞𝐫𝐢𝐤𝐨𝐯 🇨🇾
2022-04-23 05:23 UTC
Nadine Stefanova
Самый эффективный способ: написать знакомой участнице женской группы, чтобы она разместила пост там ...
Класс спасибо
Передам Ричарду
Передам Ричарду
🥖
2022-04-23 05:25 UTC
Люди встречаются... Люди влюбляются...
Женятся)
Женятся)
Вадич (Но это не точно ©)
2022-04-23 05:25 UTC
D4 𝐃𝐞𝐧𝐢𝐬 𝐂𝐡𝐞𝐭𝐯𝐞𝐫𝐢𝐤𝐨𝐯 🇨🇾
Класс спасибо
Передам Ричарду
Вот и пропал Ричард :)
D4 𝐃𝐞𝐧𝐢𝐬 𝐂𝐡𝐞𝐭𝐯𝐞𝐫𝐢𝐤𝐨𝐯 🇨🇾
2022-04-23 05:25 UTC
Вадич (Но это не точно ©)
Вот и пропал Ричард :)
😂😂😂
Ну он на английских девушек говорит , что не хочет больше иметь опыта с ними😂🙈
Ну он на английских девушек говорит , что не хочет больше иметь опыта с ними😂🙈
🥖
2022-04-23 05:26 UTC
Что только люди не придумают, лишь бы не работать...
Знакомиться, семья...
Знакомиться, семья...
Nadine Stefanova
2022-04-23 05:26 UTC
Шуткуют видимо убежденные холостяки или наоборот глубоко женатые))))
🥖
2022-04-23 05:27 UTC
Nadine Stefanova
Шуткуют видимо убежденные холостяки или наоборот глубоко женатые))))
Убежденных холостяков не бывает)
D4 𝐃𝐞𝐧𝐢𝐬 𝐂𝐡𝐞𝐭𝐯𝐞𝐫𝐢𝐤𝐨𝐯 🇨🇾
2022-04-23 05:27 UTC
🥖
Что только люди не придумают, лишь бы не работать...
Знакомиться, семья...
Ну Ричард уже заработал😁
Скупает тут недвижимость и землю, это нормально для европейца после 40 семью создавать😁
Скупает тут недвижимость и землю, это нормально для европейца после 40 семью создавать😁
🥖
2022-04-23 05:28 UTC
D4 𝐃𝐞𝐧𝐢𝐬 𝐂𝐡𝐞𝐭𝐯𝐞𝐫𝐢𝐤𝐨𝐯 🇨🇾
Ну Ричард уже заработал😁
Скупает тут недвижимость и землю, это нормально для европейца после 40 семь...
Это была шутка, а не упрек в сторону кого-либо...
D4 𝐃𝐞𝐧𝐢𝐬 𝐂𝐡𝐞𝐭𝐯𝐞𝐫𝐢𝐤𝐨𝐯 🇨🇾
2022-04-23 05:28 UTC
🥖
Это была шутка, а не упрек в сторону кого-либо...
Да все ок, с чувством юмора все хорошо🌟
Alexpov
2022-04-23 05:46 UTC
D4 𝐃𝐞𝐧𝐢𝐬 𝐂𝐡𝐞𝐭𝐯𝐞𝐫𝐢𝐤𝐨𝐯 🇨🇾
Ну Ричард уже заработал😁
Скупает тут недвижимость и землю, это нормально для европейца после 40 семь...
Так и скажи, что он собрался сельским хозяйством заниматься и ищет кто коня на скаку остановит ))
D4 𝐃𝐞𝐧𝐢𝐬 𝐂𝐡𝐞𝐭𝐯𝐞𝐫𝐢𝐤𝐨𝐯 🇨🇾
2022-04-23 05:46 UTC
Alexpov
Так и скажи, что он собрался сельским хозяйством заниматься и ищет кто коня на скаку остановит ))
😂 не, он дома строит
Oleg Reshetnikov
2022-04-23 05:57 UTC
В случае шума в ночное время - звоните 1460.
D4 𝐃𝐞𝐧𝐢𝐬 𝐂𝐡𝐞𝐭𝐯𝐞𝐫𝐢𝐤𝐨𝐯 🇨🇾
2022-04-23 06:00 UTC
После 11 по идее да
📎 Webpage (not supported)
Αικατερίνη Fox
2022-04-23 06:26 UTC
Алена
А как же Крылатые качели?!
Может тоже было) я ж не все время на балконе сидела
OLEG Pjktu
2022-04-23 07:07 UTC
Pajok
Ну я бы оба варианта рассмотрел
Правда больше интересует отзыв о том, что можно на острове купить и...
Икеевский фильтр для воздуха.
По уму нужно приточку с фильтром ставить (типа бризер, но в локальных магазинов я такой не видел) + там установка с дыркой в стене и электричеством.
Но меня пыль очень огорчает я шорт лист с Амазон европейского что можно притащить завел.
По уму нужно приточку с фильтром ставить (типа бризер, но в локальных магазинов я такой не видел) + там установка с дыркой в стене и электричеством.
Но меня пыль очень огорчает я шорт лист с Амазон европейского что можно притащить завел.
Алена
2022-04-23 07:40 UTC
А как вы решаете вопрос с российской налоговой, если ваш работодатель не из России?
Алена
А как вы решаете вопрос с российской налоговой, если ваш работодатель не из России?
📎 Webpage (not supported)
Вам сюда
CY Law, Visas, Taxes, Insurance
Чат для обсуждения кипрских визовых, налоговых, финансовых и других юридических вопросов
https://t.me/cylaw
Закреп чата с полезными ссылками https://t.me/cylaw/2
CY Law, Visas, Taxes, Insurance
Чат для обсуждения кипрских визовых, налоговых, финансовых и других юридических вопросов
https://t.me/cylaw
Закреп чата с полезными ссылками https://t.me/cylaw/2
Алена
2022-04-23 07:59 UTC
Nadine Stefanova
Вам сюда
CY Law, Visas, Taxes, Insurance
Чат для обсуждения кипрских визовых, налоговых, финансовых ...
Спасибо! ☺️
V
2022-04-23 07:59 UTC
Кто нибудь знает работает ли сегодня H&M в Лимассоле?
V
Кто нибудь знает работает ли сегодня H&M в Лимассоле?
📎 Webpage (not supported)
Шанс есть - https://t.me/badcyprus/329038
Nick Zem
2022-04-23 08:13 UTC
Всем привет, тут можно резюме свое оставлять?
Alexey
2022-04-23 08:13 UTC
Nick Zem
Всем привет, тут можно резюме свое оставлять?
Привет, нет, в закрепе есть hr чат
Oleg Reshetnikov
2022-04-23 08:18 UTC
@HappyKatty2021
Пожалуйста, пишите в чаты про недвижку. Ссылки в первом закрепе.
Пожалуйста, пишите в чаты про недвижку. Ссылки в первом закрепе.
Nick Zem
Всем привет, тут можно резюме свое оставлять?
📎 Webpage (not supported)
Вот тут посмотрите
https://t.me/cyprusit/420
https://t.me/cyprusit/420
Katrin 🌒
2022-04-23 08:22 UTC
Oleg Reshetnikov
@HappyKatty2021
Пожалуйста, пишите в чаты про недвижку. Ссылки в первом закрепе.
Что-то не нашла среди сотни ссылок
Драконъ
2022-04-23 08:25 UTC
А может кто-то показать, как тут обычно физически выглядит крепление москитной сетки на двойное раздвижное окно (не в пол, с подоконником). Поиском погуглила, про суперхоум все поняла, но дальше у меня воображение отказывает: каким-то образом затягивают все окно (снаружи?). Или можно как-то на секцию закрепить?
Может кто-то фото своего решения скинуть?
Гугл в основном показывает направляющие рам на трех полозьях и сетку в одном из.
Может кто-то фото своего решения скинуть?
Гугл в основном показывает направляющие рам на трех полозьях и сетку в одном из.
NightWatch
2022-04-23 08:27 UTC
Драконъ
А может кто-то показать, как тут обычно физически выглядит крепление москитной сетки на двойное разд...
фото не скину, но выглядит как ещё одна раздвижная рама (как со стеклом, только с сеткой) снаружи окна
Драконъ
2022-04-23 08:28 UTC
NightWatch
фото не скину, но выглядит как ещё одна раздвижная рама (как со стеклом, только с сеткой) снаружи ок...
А напрявляющие для этой рамы как крепятся? на двусторонний скотч?
И вся такая система в суперхоме обычно есть или это уже под заказ?
И вся такая система в суперхоме обычно есть или это уже под заказ?
Igotit
2022-04-23 08:28 UTC
Αικατερίνη Fox
Сначала орали на всю улицу прекрасное далеко, потом был лесной олень ещё. Теперь Меладзе на всю улиц...
В полицию звонили? У меня под окнами когда вечером мотоциклы ездят, я в полицию звоню, присылают патруль, мотоциклы шуметь перестают. Примерно через полчаса после звонка. Хотелось бы чтобы каждый так названивал, тогда может что-то меняться начнет.
Драконъ
2022-04-23 08:30 UTC
Max
Колхоз стайл
а вид чуток более отдаленный можно? Это вы сеткой на скотче всю внешнюю раму со стороны улицы затянули?)
Max
2022-04-23 08:30 UTC
из дома
Max
2022-04-23 08:30 UTC
да
User 572634093
2022-04-23 08:50 UTC
Как обналичить или купить крипту с валютного евро счёта Тинькова, подскажите пожалуйста
Sasha Semenova
2022-04-23 08:50 UTC
Привет! Посоветуйте пожалуйста сервис, нужно почистить макбук
Vadim
2022-04-23 09:35 UTC
А не подскажите по поводу покупки макбука, можно ли купить только с английской гравировкой?
Oleg Reshetnikov
2022-04-23 09:36 UTC
Vadim
А не подскажите по поводу покупки макбука, можно ли купить только с английской гравировкой?
Да
Αικατερίνη Fox
2022-04-23 09:37 UTC
Igotit
В полицию звонили? У меня под окнами когда вечером мотоциклы ездят, я в полицию звоню, присылают пат...
Да а куда вызывать то было? Я не знаю адрес той движухи😂
Timofei
2022-04-23 09:45 UTC
Здравствуйте! Кто-нибудь летел на Кипр через Израиль? У нас не транзитный билет, так что, видимо придется проходить паспортный контроль в Израиле. Значит ли это что нужно делать тест и ждать его результата в карантине в Израиле перед тем как мы сможем вылететь на Кипр?
Timofei
Здравствуйте! Кто-нибудь летел на Кипр через Израиль? У нас не транзитный билет, так что, видимо при...
📎 Webpage (not supported)
вам сюда: https://t.me/cyvisaorg
Olive_twig 🧅
2022-04-23 10:07 UTC
D4 𝐃𝐞𝐧𝐢𝐬 𝐂𝐡𝐞𝐭𝐯𝐞𝐫𝐢𝐤𝐨𝐯 🇨🇾
Класс спасибо
Передам Ричарду
А сколько лет Ричарду?))
D4 𝐃𝐞𝐧𝐢𝐬 𝐂𝐡𝐞𝐭𝐯𝐞𝐫𝐢𝐤𝐨𝐯 🇨🇾
2022-04-23 10:09 UTC
Olive_twig 🧅
А сколько лет Ричарду?))
42😁
Побуду Купидоном ща😂
Побуду Купидоном ща😂
Olive_twig 🧅
2022-04-23 10:14 UTC
D4 𝐃𝐞𝐧𝐢𝐬 𝐂𝐡𝐞𝐭𝐯𝐞𝐫𝐢𝐤𝐨𝐯 🇨🇾
42😁
Побуду Купидоном ща😂
Почему бы и нет)))
Rustam Klepcha
2022-04-23 10:48 UTC
D4 𝐃𝐞𝐧𝐢𝐬 𝐂𝐡𝐞𝐭𝐯𝐞𝐫𝐢𝐤𝐨𝐯 🇨🇾
42😁
Побуду Купидоном ща😂
Это не он украинок ищет в пафосном чате?
D4 𝐃𝐞𝐧𝐢𝐬 𝐂𝐡𝐞𝐭𝐯𝐞𝐫𝐢𝐤𝐨𝐯 🇨🇾
2022-04-23 10:50 UTC
Rustam Klepcha
Это не он украинок ищет в пафосном чате?
Не видел😁
Друзья, буду все же периодически писать здесь свою просьбу,т.к. логи мало кто читает,а ситуация острая
Надеюсь, админы не посчитают за злостный спам😔
Лечу в Ларнаку через Каир из Москвы 6 мая в 16.50 рейс 730
Если кто-то ещё летит этим рейсом - но без животных, пожалуйста, напишите мне
У меня 2 кошки, в салон разрешают пронести только одну на человека
Если кто-нибудь согласится чтобы я вторую на него прикрепила, это спасет ей жизнь(психику точно)
Оставить здесь не могу, багаж не перенесет - после операции
Напишите, пожалуйста, я все оплачу и отблагодарю как скажете, лишь бы они со мной летели🙏
Если хотите лететь в этот день - готова оплатить половину билета
Фото для привлечения внимания
Надеюсь, админы не посчитают за злостный спам😔
Лечу в Ларнаку через Каир из Москвы 6 мая в 16.50 рейс 730
Если кто-то ещё летит этим рейсом - но без животных, пожалуйста, напишите мне
У меня 2 кошки, в салон разрешают пронести только одну на человека
Если кто-нибудь согласится чтобы я вторую на него прикрепила, это спасет ей жизнь(психику точно)
Оставить здесь не могу, багаж не перенесет - после операции
Напишите, пожалуйста, я все оплачу и отблагодарю как скажете, лишь бы они со мной летели🙏
Если хотите лететь в этот день - готова оплатить половину билета
Фото для привлечения внимания
Katherine
2022-04-23 11:31 UTC
Подскажите, пожалуйста, где (в какой церкви) в Лимассоле лучше всего смотреть на празднование Пасхи? (Костры итд)
Vladimir Goncharov
2022-04-23 11:33 UTC
🦆
Друзья, буду все же периодически писать здесь свою просьбу,т.к. логи мало кто читает,а ситуация остр...
Логи много кто читает :) за спам посчитают. Написали раз в нескольких чатах и хватит.
🦆
2022-04-23 11:34 UTC
Vladimir Goncharov
Логи много кто читает :) за спам посчитают. Написали раз в нескольких чатах и хватит.
А здесь его вообще удалили в прошлый раз за неподходящую тематику
Может этот оставят,тут вроде даже выгодное предложение проскальзывает для кого-нибудь,кто хочет сэкономить на билете
Может этот оставят,тут вроде даже выгодное предложение проскальзывает для кого-нибудь,кто хочет сэкономить на билете
Vladimir Goncharov
2022-04-23 11:35 UTC
🦆
А здесь его вообще удалили в прошлый раз за неподходящую тематику
Может этот оставят,тут вроде даже ...
И правильно сделали. Для вашего сообщения есть тематические чаты.
🦆
2022-04-23 11:36 UTC
Vladimir Goncharov
И правильно сделали. Для вашего сообщения есть тематические чаты.
Не все готовые помочь сидят в этих чатах
Естественно, там уже все размещено
Но я не оставляю надежд увеличить шансы
Естественно, там уже все размещено
Но я не оставляю надежд увеличить шансы
Людмила
2022-04-23 11:36 UTC
Всем привет! Нужна яхта на завтра вечер, 10-12 человек, Лимассол. Покататься часа 3-4. Может поделитесь контактами 🙏🏻
Vladimir Goncharov
2022-04-23 11:37 UTC
🦆
Не все готовые помочь сидят в этих чатах
Естественно, там уже все размещено
Но я не оставляю надежд ...
Напишите тогда ещё и в медицинский чат. Потом осознайте, что такое спам и перестаньте этим заниматься.
Oleg Reshetnikov
2022-04-23 11:40 UTC
🦆
А здесь его вообще удалили в прошлый раз за неподходящую тематику
Может этот оставят,тут вроде даже ...
Сейчас ваше сообщение оставили, зачем вы снова ругаетесь? ((
🦆
2022-04-23 11:41 UTC
Oleg Reshetnikov
Сейчас ваше сообщение оставили, зачем вы снова ругаетесь? ((
Извините, пыталась обьяснить свою позицию
Спасибо!❤️
Я буду молчать, только пусть хоть сколько нибудь продержится
Спасибо!❤️
Я буду молчать, только пусть хоть сколько нибудь продержится
Vladimir Goncharov
2022-04-23 11:41 UTC
Oleg Reshetnikov
Сейчас ваше сообщение оставили, зачем вы снова ругаетесь? ((
Потому что её проблема более значимая чем проблемы остальных :)
Alexey Tim
2022-04-23 11:57 UTC
Всем добрый день. Не подскажите, сегодня ночью где-то в районе Лимасоал были слышны взрывы и грохот. А также были перебои со светом. Может кто-то знает, что случилось ?
( заранее извиняюсь за отклонение от тематики канала )
( заранее извиняюсь за отклонение от тематики канала )
NightWatch
2022-04-23 11:58 UTC
Alexey Tim
Всем добрый день. Не подскажите, сегодня ночью где-то в районе Лимасоал были слышны взрывы и грохот....
пасха
Alexey Tim
2022-04-23 11:59 UTC
Тоже так подумал, но взрывы без салюта
Oleg Reshetnikov
2022-04-23 11:59 UTC
пасха без салютов
Alexey Tim
2022-04-23 12:00 UTC
Спасибо
Oleg Reshetnikov
2022-04-23 12:02 UTC
Сегодня ночью будет много костров и взрывов.
Иуда должен сгореть ярко и шумно...
Иуда должен сгореть ярко и шумно...
Vladimir Predekha
2022-04-23 12:02 UTC
Нет. Пока запасы не кончатся, на неделю-две с постепенным снижением. Но тут и в принципе что-то бахнуть любят.
Oleg Reshetnikov
Сегодня ночью будет много костров и взрывов.
Иуда должен сгореть ярко и шумно...
No text content
Oleg Reshetnikov
2022-04-23 12:03 UTC
Vladimir Predekha
Нет. Пока запасы не кончатся, на неделю-две с постепенным снижением. Но тут и в принципе что-то бахн...
На самом деле сегодня ночью основное действие.
Не пугайте плиз людей про 2 недели.
Не пугайте плиз людей про 2 недели.
Vladimir Predekha
2022-04-23 12:03 UTC
Oleg Reshetnikov
На самом деле сегодня ночью основное действие.
Не пугайте плиз людей про 2 недели.
Основное - да, потом меньше. Но у меня уже неделю бахают по нарастающей.
Oleg Reshetnikov
2022-04-23 12:04 UTC
Vladimir Predekha
Основное - да, потом меньше. Но у меня уже неделю бахают по нарастающей.
Круглый год "бахают".
Так бывает на Кипре.
Но это не идёт ни в какое сравнение с тем, что будет сегодня.
Так бывает на Кипре.
Но это не идёт ни в какое сравнение с тем, что будет сегодня.
Vladimir Predekha
2022-04-23 12:05 UTC
Oleg Reshetnikov
Круглый год "бахают".
Так бывает на Кипре.
Но это не идёт ни в какое сравнение с тем, что будет сего...
"Но это не идёт ни в какое сравнение с тем, что будет сегодня" - это точно
Я скорее про то что сразу не затихнет. Т.е. это нормально что что-то хлопают, а в районе Пасхи - особенно.
Я скорее про то что сразу не затихнет. Т.е. это нормально что что-то хлопают, а в районе Пасхи - особенно.
Vadim
2022-04-23 12:27 UTC
Timofei
Здравствуйте! Кто-нибудь летел на Кипр через Израиль? У нас не транзитный билет, так что, видимо при...
Я летел. Это было ужасно. Задержали в аэропорте на 3 часа, потом просто отпустили. Тест на ковид надо сделать платно иначе не выпустят. Информация о терминали и гейте в билете israir может быть ложной - перепроверяйте
Timofei
2022-04-23 12:29 UTC
Vadim
Я летел. Это было ужасно. Задержали в аэропорте на 3 часа, потом просто отпустили. Тест на ковид над...
Спасибо!
Sergey Newton
2022-04-23 12:31 UTC
А что за воздушная тревога в лимассоле?🤔 надеюсь проверяют просто😀
Ребят, я что-то знатно туплю. Визз эир шлёт напоминалку, что в Испанию нужно получить куар код. Но у меня вакцина, есть сертификат.
Мне же ничего более не нужно заполнять?
Мне же ничего более не нужно заполнять?
Katerina
Ребят, я что-то знатно туплю. Визз эир шлёт напоминалку, что в Испанию нужно получить куар код. Но у...
📎 Webpage (not supported)
Ilya Petrov
2022-04-23 13:11 UTC
Cyprus_iT
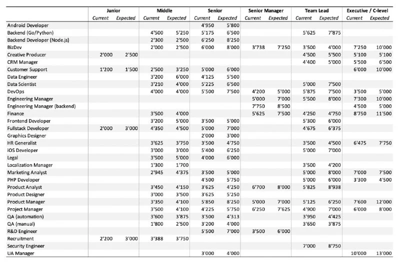
**Results of Cyprus tech salaries survey
**Коллеги из [**Palta**](https://t.me/cyprusit/323) подве...
Это net или гросс?)
Alex
2022-04-23 13:11 UTC
Cyprus_iT
**Results of Cyprus tech salaries survey
**Коллеги из [**Palta**](https://t.me/cyprusit/323) подве...
Такой же вопрос:)
Евгений Климович
2022-04-23 13:12 UTC
Cyprus_iT
**Results of Cyprus tech salaries survey
**Коллеги из [**Palta**](https://t.me/cyprusit/323) подве...
+1
Evgeniy
2022-04-23 13:12 UTC
Cyprus_iT
**Results of Cyprus tech salaries survey
**Коллеги из [**Palta**](https://t.me/cyprusit/323) подве...
Системные аналитики не попали в список...Они не востребованы, или по другому называются в англоязычных компаниях?
Oleg Reshetnikov
2022-04-23 13:13 UTC
Ilya Petrov
Это net или гросс?)
опрос был про гросс NET
надеюсь, что ответы тоже были прогросс NET
хотя в документах на Кипре обычно оперируют понятием гросс.
надеюсь, что ответы тоже были про
хотя в документах на Кипре обычно оперируют понятием гросс.
Oleg Reshetnikov
2022-04-23 13:17 UTC
Evgeniy
Системные аналитики не попали в список...Они не востребованы, или по другому называются в англоязычн...
по ним практически не было выборки.
Evgeniy
2022-04-23 13:19 UTC
Oleg Reshetnikov
по ним практически не было выборки.
Спасибо. Но хотя бы те данные, что были можно узнать? Что бы иметь хоть какой-то ориентир.
Oleg Reshetnikov
2022-04-23 13:23 UTC
Evgeniy
Спасибо. Но хотя бы те данные, что были можно узнать? Что бы иметь хоть какой-то ориентир.
**2 ответа
**Business/System Analyst
Middle
current 1500-2800
asking 3000-3300
**Business/System Analyst
Middle
current 1500-2800
asking 3000-3300
Anastasia
2022-04-23 13:23 UTC
Cyprus_iT
**Results of Cyprus tech salaries survey
**Коллеги из [**Palta**](https://t.me/cyprusit/323) подве...
QA automation
Middle - current 3600
Senior - current 3500
🤔 У сеньоров меньше зп получилась, это не ошибка?
Middle - current 3600
Senior - current 3500
🤔 У сеньоров меньше зп получилась, это не ошибка?
Sergey Shevchenko
2022-04-23 13:24 UTC
Cyprus_iT
**Results of Cyprus tech salaries survey
**Коллеги из [**Palta**](https://t.me/cyprusit/323) подве...
По DevOps по c level получилось меньше чем у senior
Oleg Reshetnikov
2022-04-23 13:25 UTC
Anastasia
QA automation
Middle - current 3600
Senior - current 3500
🤔 У сеньоров меньше зп получилась, это не ...
Такая выборка.
Oleg Reshetnikov
2022-04-23 13:25 UTC
Sergey Shevchenko
По DevOps по c level получилось меньше чем у senior
Такая выборка )
Ilgiz Absalyamov
2022-04-23 13:25 UTC
Cyprus_iT
**Results of Cyprus tech salaries survey
**Коллеги из [**Palta**](https://t.me/cyprusit/323) подве...
Что значит Current и Expected?
Как получилось, что по некоторым позициям гросс <= 2500?
Как получилось, что по некоторым позициям гросс <= 2500?
Ilgiz Absalyamov
Что значит Current и Expected?
Как получилось, что по некоторым позициям гросс <= 2500?
📎 Webpage (not supported)
Oleg Reshetnikov
2022-04-23 13:25 UTC
Ilgiz Absalyamov
Что значит Current и Expected?
Как получилось, что по некоторым позициям гросс <= 2500?
Не важно ))
Max
2022-04-23 13:26 UTC
Anastasia
QA automation
Middle - current 3600
Senior - current 3500
🤔 У сеньоров меньше зп получилась, это не ...
Им просто не говорят)
Oleg Reshetnikov
2022-04-23 13:27 UTC
Anastasia
QA automation
Middle - current 3600
Senior - current 3500
🤔 У сеньоров меньше зп получилась, это не ...
Вы понимаете, что компании разные, сферы разные, условия разные?
Нет никакого ЕДИНОГО ПРАЙСА ОПЛАТЫ труда )
Нет никакого ЕДИНОГО ПРАЙСА ОПЛАТЫ труда )
Dmitriy
2022-04-23 13:29 UTC
Было бы интересно еще разбить по размерам компаний, конечно. C-level в стартапе на 5 человек вполне может получать меньше, чем сеньор в мультинейшенале )
Oleg Reshetnikov
2022-04-23 13:29 UTC
Сделайте свой, правильный опрос ))
Oleg Reshetnikov
2022-04-23 13:30 UTC
Dmitriy
Было бы интересно еще разбить по размерам компаний, конечно. C-level в стартапе на 5 человек вполне ...
Размеры компаний не собирались.
Gulya Medzhidova
2022-04-23 13:30 UTC
Cyprus_iT
**Results of Cyprus tech salaries survey
**Коллеги из [**Palta**](https://t.me/cyprusit/323) подве...
Нет Technical Support
Dmitriy
2022-04-23 13:30 UTC
Oleg Reshetnikov
опрос был про ~~гросс~~ NET
надеюсь, что ответы тоже были про ~~гросс~~ NET
хотя в документах на Кип...
В следующий опрос, думаю, не помешает капсом отдельный пункт "РЕЧЬ ИДЕТ ПРО ГРОСС, НАПИШИТЕ "ДА, Я ПОНИМАЮ, ЧТО НАДО УКАЗЫВАТЬ ГРОСС"" 😁
Oleg Reshetnikov
2022-04-23 13:32 UTC
Dmitriy
В следующий опрос, думаю, не помешает капсом отдельный пункт "РЕЧЬ ИДЕТ ПРО ГРОСС, НАПИШИТЕ "ДА, Я П...
Вы думаете, если человеку написать "посмотрите в закреп" - он посмотрит? ))))))))))
Illia Hai
2022-04-23 13:33 UTC
Oleg Reshetnikov
Вы думаете, если человеку написать "посмотрите в закреп" - он посмотрит? ))))))))))
Так не в закрепе. А прямо в форме.
Oleg Reshetnikov
2022-04-23 13:33 UTC
Gulya Medzhidova
Если появятся, то добавляйте
Интересно 🤞
Нет.
Oleg Reshetnikov
2022-04-23 13:33 UTC
Illia Hai
Так не в закрепе. А прямо в форме.
Да хоть где )))
Некоторые вообще в рублях ЗП указывали )))
Некоторые вообще в рублях ЗП указывали )))
Ilgiz Absalyamov
2022-04-23 13:33 UTC
Cyprus_iT
**Results of Cyprus tech salaries survey
**Коллеги из [**Palta**](https://t.me/cyprusit/323) подве...
Спасибо за результаты. Кейсы могут быть действительно разные и хорошо, что есть пояснения.
Illia Hai
2022-04-23 13:34 UTC
Oleg Reshetnikov
Да хоть где )))
Некоторые вообще в рублях ЗП указывали )))
🤦
Dmitriy
2022-04-23 13:34 UTC
Oleg Reshetnikov
Размеры компаний не собирались.
Ну, тоже идея для следующего опроса :)
Хотя с выборкой 300-400 человек будет маловато по позициям, можно будет хотя бы грубо оценить отношение jun-mid-senior от размера компаний
Хотя с выборкой 300-400 человек будет маловато по позициям, можно будет хотя бы грубо оценить отношение jun-mid-senior от размера компаний
Dmitriy
2022-04-23 13:35 UTC
Oleg Reshetnikov
Да хоть где )))
Некоторые вообще в рублях ЗП указывали )))
Ну значит еще пункт, где надо руками вбить "понимаю, что надо указывать в евро". Можно три пункта, в каждом разная формулировка, чтобы точно дошло (может быть, надеюсь) 😁
Julia M
2022-04-23 13:35 UTC
Cyprus_iT
**Results of Cyprus tech salaries survey
**Коллеги из [**Palta**](https://t.me/cyprusit/323) подве...
Это очень круто! Спасибо огромное за такую работу! И это не какие-то шаблонные цифры из воздуха, а на реальных примерах. Огонь!
Anastasia
2022-04-23 13:35 UTC
Да, понимаю, спасибо за напоминание.)) Моя компания при высчитывании вилки опирается на какие-то исследования рынка, надеюсь, не на такие 🤔🤔
Max
2022-04-23 13:35 UTC
Dmitriy
Ну значит еще пункт, где надо руками вбить "понимаю, что надо указывать в евро". Можно три пункта, в...
галочку - зуб даю или мамой клянусь
Max
2022-04-23 13:36 UTC
если в результатах будет NaN - это синьор куа
Dmitriy
2022-04-23 13:36 UTC
Max
галочку - зуб даю или мамой клянусь
Не-не, галочки все на автопилоте ставят, это я даже с минимальным опытом в UX знаю )
А вот если заставлять под диктовку вбивать, иногда народ соображает, что что-то пошло не так
А вот если заставлять под диктовку вбивать, иногда народ соображает, что что-то пошло не так
User 572634093
2022-04-23 13:41 UTC
Unknown
Как обналичить или купить крипту с валютного евро счёта Тинькова, подскажите пожалуйста
?🙏
Max
2022-04-23 13:43 UTC
📎👀
Dmitrii
2022-04-23 13:46 UTC
У девопс цифры конечно забавные то как executive и мидлы органично сочетаются.
Вот он Коммунизим когда рабочие получают больше буржуев руководителей)
Вот он Коммунизим когда рабочие получают больше буржуев руководителей)
Вадич (Но это не точно ©)
2022-04-23 13:47 UTC
Dmitrii
У девопс цифры конечно забавные то как executive и мидлы органично сочетаются.
Вот он Коммунизим ко...
Аха, буржуи через дивиденды выводят.
Dmitrii
2022-04-23 13:51 UTC
Но это кстати интересный момент да подобных опросов что премии и опционы не учитываются. В этом плане общий годовой доход за прошлый год выглядит честнее и как то более показательным.
Вадич (Но это не точно ©)
2022-04-23 13:53 UTC
Dmitrii
Но это кстати интересный момент да подобных опросов что премии и опционы не учитываются. В этом план...
Как и везде важны нюансы.
Ещё могут жилье и школу оплачивать, питание и т.д.
Всего не предусмотреть и не вытащить из респондента...
Ещё могут жилье и школу оплачивать, питание и т.д.
Всего не предусмотреть и не вытащить из респондента...
Illia Hai
2022-04-23 13:55 UTC
Вадич (Но это не точно ©)
Как и везде важны нюансы.
Ещё могут жилье и школу оплачивать, питание и т.д.
Всего не предусмотреть...
Ещё могут жилье и школу оплачивать, питание и т.д.
Всего не предусмотреть и не вытащить из респондента...
это можно на numbeo посмотреть
Всего не предусмотреть и не вытащить из респондента...
это можно на numbeo посмотреть
Вадич (Но это не точно ©)
2022-04-23 13:56 UTC
Illia Hai
Ещё могут жилье и школу оплачивать, питание и т.д.
Всего не предусмотреть и не вытащить из респонде...
Посмотреть можно.
Но:
З-та 3500 + жильё и школа для ребёнка это не просто 3500 в статистике...
Но:
З-та 3500 + жильё и школа для ребёнка это не просто 3500 в статистике...
Illia Hai
2022-04-23 13:59 UTC
Вадич (Но это не точно ©)
Посмотреть можно.
Но:
З-та 3500 + жильё и школа для ребёнка это не просто 3500 в статистике...
угу
Roman
2022-04-23 14:00 UTC
Ребята, привет!
А где на Кипре можно купить за наличку всякое мелкое барахло для компьютерной техники?
Более конкретно: нужен CPU bracket (это платформа, крепящайся к материнке, на которую цепляется кулер) для am4, либо б/у материнка на am3/am4 (подойдёт прям старая и даже нерабочая). На bazaraki не нашёл
А где на Кипре можно купить за наличку всякое мелкое барахло для компьютерной техники?
Более конкретно: нужен CPU bracket (это платформа, крепящайся к материнке, на которую цепляется кулер) для am4, либо б/у материнка на am3/am4 (подойдёт прям старая и даже нерабочая). На bazaraki не нашёл
Вадич (Но это не точно ©)
2022-04-23 14:02 UTC
Roman
Ребята, привет!
А где на Кипре можно купить за наличку всякое мелкое барахло для компьютерной техни...
Mentat
2022-04-23 14:03 UTC
Вадич (Но это не точно ©)
Посмотреть можно.
Но:
З-та 3500 + жильё и школа для ребёнка это не просто 3500 в статистике...
Это примерно 5,5 если вывести в чистый нал
Oleg Reshetnikov
2022-04-23 14:03 UTC
Oleg Reshetnikov
опрос был про ~~гросс~~ NET
надеюсь, что ответы тоже были про ~~гросс~~ NET
хотя в документах на Кип...
в опросе оказывается было явно прописано NET
мои извинения за неверный ответ сегодня (((
мои извинения за неверный ответ сегодня (((
Roman
Ребята, привет!
А где на Кипре можно купить за наличку всякое мелкое барахло для компьютерной техни...
📎 Webpage (not supported)
Может ещё тут быть, тут всякие детальки продаются )
KOMBOS A. G. ELECTRONICS CO. LTD
+357 25 355868
https://goo.gl/maps/LSVsASUXdVDWH8Ly7
KOMBOS A. G. ELECTRONICS CO. LTD
+357 25 355868
https://goo.gl/maps/LSVsASUXdVDWH8Ly7
Dmitrii
2022-04-23 14:06 UTC
О значит верно +- по девопсу, а то уже были мысли что с ума схожу)
Ivan 💬 Korzennikov
2022-04-23 14:08 UTC
Так они вроде и так не высоки ))
Alexander Zapevalov
2022-04-23 14:09 UTC
Cyprus_iT
**Results of Cyprus tech salaries survey
**Коллеги из [**Palta**](https://t.me/cyprusit/323) подве...
NET с 13-ой ЗП или без? 🙂 конечно, проще всего было бы провести опрос среди ГРОСС ЗП, потому что с вычетом налога сразу появляется куча вопросов
- есть 13 или нет
- есть льготы или нет, а если есть
и так далее
- есть 13 или нет
- есть льготы или нет, а если есть
и так далее
Oleg Reshetnikov
2022-04-23 14:17 UTC
Alexander Zapevalov
NET с 13-ой ЗП или без? 🙂 конечно, проще всего было бы провести опрос среди ГРОСС ЗП, потому что с в...
Да-да. Спасибо. Будем иметь в виду.
Alexander Zapevalov
2022-04-23 14:18 UTC
Cyprus_iT
**Results of Cyprus tech salaries survey
**Коллеги из [**Palta**](https://t.me/cyprusit/323) подве...
ага, или например так.
Вадич (Но это не точно ©)
2022-04-23 14:19 UTC
Oleg Reshetnikov
Да-да. Спасибо. Будем иметь в виду.
"Никакой инициативы. Глаза в землю и – вдоль стены. Лифтом – вжик! – в кровать – шасть! Пледом – швырк! – и сидишь в пледу. И никакой выдумки. Ты придумаешь, ты же и будешь делать, тебя же и накажут, что плохо сделал."
Alexey Kas
2022-04-23 14:20 UTC
Oleg Reshetnikov
**2 ответа
**Business/System Analyst
Middle
current 1500-2800
asking 3000-3300
Жаль редко вакансии встретишь. Может на кипре эта роль иначе называется?
Oleg Reshetnikov
2022-04-23 14:20 UTC
Alexey Kas
Жаль редко вакансии встретишь. Может на кипре эта роль иначе называется?
Хорошо. Исправим!
Inga Shaikhutdinova
2022-04-23 14:21 UTC
Alexey Kas
Жаль редко вакансии встретишь. Может на кипре эта роль иначе называется?
Там есть product analyst
Alexey Kas
2022-04-23 14:21 UTC
Inga Shaikhutdinova
Там есть product analyst
Это системный и бизнес вместе или нет?
Ivan 💬 Korzennikov
2022-04-23 14:28 UTC
Да конечно
Valeria Sidorova
2022-04-23 14:28 UTC
Alexey Kas
Жаль редко вакансии встретишь. Может на кипре эта роль иначе называется?
Нет, так и называется. Работаю как раз на этой должности) Вакансий с релокой по ней, когда я искала, было не мало, штук 5 только на hh
Alexey Kas
2022-04-23 14:29 UTC
Valeria Sidorova
Нет, так и называется. Работаю как раз на этой должности) Вакансий с релокой по ней, когда я искала,...
Поздравляю вас:)
Когда-нибудь и у меня получится вырваться:)
Когда-нибудь и у меня получится вырваться:)
Valeria Sidorova
2022-04-23 14:30 UTC
Alexey Kas
Поздравляю вас:)
Когда-нибудь и у меня получится вырваться:)
Удачи вам 👌 Но я в прошлом году нашла работу, это было в разы легче, чем сейчас.
Alexey Kas
2022-04-23 14:31 UTC
Valeria Sidorova
Удачи вам 👌 Но я в прошлом году нашла работу, это было в разы легче, чем сейчас.
О да, горячее времечко выбрал)
Спасибо!
Не подскажете пожалуйста в какой чатик закидывают резюме?
Спасибо!
Не подскажете пожалуйста в какой чатик закидывают резюме?
Valeria Sidorova
2022-04-23 14:33 UTC
Alexey Kas
О да, горячее времечко выбрал)
Спасибо!
Не подскажете пожалуйста в какой чатик закидывают резюме?
Я не кидала в чатики, я обычно мониторила вакансии и писала hh 🤷♀️
Alexey Kas
2022-04-23 14:34 UTC
Valeria Sidorova
Я не кидала в чатики, я обычно мониторила вакансии и писала hh 🤷♀️
Понял, вас. Если не затруднит, то какого уровня у вас был английский и что можете посоветовать для подготовки к собеседованию?
Valeria Sidorova
2022-04-23 14:37 UTC
Alexey Kas
Понял, вас. Если не затруднит, то какого уровня у вас был английский и что можете посоветовать для п...
Между B1 и B2. Ниже B1 рассматривать не будут 😣 У трех компаний, где я проходила собеседования, были задачи стандартные вроде написать скрипт, написать use case, sequence построить. Стандартно, короче 🤷♀️
Alexey Kas
2022-04-23 14:38 UTC
Valeria Sidorova
Между B1 и B2. Ниже B1 рассматривать не будут 😣 У трех компаний, где я проходила собеседования, были...
Благодарю за ответ:)
Alexey Kas
О да, горячее времечко выбрал)
Спасибо!
Не подскажете пожалуйста в какой чатик закидывают резюме?
📎 Webpage (not supported)
Dzmitry
2022-04-23 14:38 UTC
Ребята, может кто подскажет где лучше оформить страховку на авто?
Alexey Kas
2022-04-23 14:39 UTC
Oleg Reshetnikov
Вот тут всё про работу на Кипре...
Плиз, прочитайте.
https://t.me/cyprusit/420
Спасибо
Vyacheslav Rubanyuk
2022-04-23 14:46 UTC
Cyprus_iT
**Results of Cyprus tech salaries survey
**Коллеги из [**Palta**](https://t.me/cyprusit/323) подве...
Спасибо, что-то UX/UI дизайнеров нет)
Yuriy Dynnikov
2022-04-23 14:53 UTC
а подскажите, что за customer support стоит 5к? Что в обязанностях?)
Oleg Reshetnikov
2022-04-23 14:55 UTC
Yuriy Dynnikov
а подскажите, что за customer support стоит 5к? Что в обязанностях?)
Умение правильно задавать вопросы и правильно отвечать.
Yuriy Dynnikov
2022-04-23 14:56 UTC
Oleg Reshetnikov
Умение правильно задавать вопросы и правильно отвечать.
хм, звучит как техлид
Makhmud Shaban
2022-04-23 14:56 UTC
Yuriy Dynnikov
хм, звучит как техлид
C-level customer support думаешь кто?)
Lelk
2022-04-23 14:57 UTC
Cyprus_iT
**Results of Cyprus tech salaries survey
**Коллеги из [**Palta**](https://t.me/cyprusit/323) подве...
Это был опрос среди компаний с «постсоветскими» корнями?) В среднем креативным продюсерам с опытом снижают ставку до 2500(а здесь это ставка по джуну).
Но может опрос вошли компании в том числе международные, где нет такого демпинга ?
Но может опрос вошли компании в том числе международные, где нет такого демпинга ?
Oleg Reshetnikov
2022-04-23 14:59 UTC
Lelk
Это был опрос среди компаний с «постсоветскими» корнями?) В среднем креативным продюсерам с опытом с...
Ничего не понял, но наверное. 😏
**5 Years Cyprus_iT!!!
**Всё началось 60 месяцев назад и за это время у нас было
234 офлайн встречи,
15100 посещений,
4000 уникальных гостей,
1950 компаний-участников
Я рад, что у меня получилось создать и столько времени поддерживать такой классный формат общения, в котором амбассадорами выступаете все вы.
Спасибо вам за то, что приходите на ивенты, за то, что приглашаете своих знакомых, за то, что вы просто есть.
Всех обнимаю и жду в эту среду на нетворкинг.
__Сорри, в этот раз праздничного торжества не будет - сейчас это не уместно.
__27.04 19:00 Кипр, Лимассол, ресторан **Malindi
Thank you Cyprus_iT Partners
General partners:** Servers.com · Exness · Palta · Tech Island · FunCorp · Sociaro · Victor Shaburov (entrepreneur)
Partners: Vizor Games · Venture Crew · Hugery.com · Blinger.io · Prodly · Ortnec · WakeApp · AsusPlus Auditors and Tax Consultants
Supporters: YOUS · Magic Solutions · Bulba Ventures · Glera Games · Wisebits · Two_commas · Tenets Confidentiam · SplitMetrics · Zorka.Agency
t.me/cyprusit
**Всё началось 60 месяцев назад и за это время у нас было
234 офлайн встречи,
15100 посещений,
4000 уникальных гостей,
1950 компаний-участников
Я рад, что у меня получилось создать и столько времени поддерживать такой классный формат общения, в котором амбассадорами выступаете все вы.
Спасибо вам за то, что приходите на ивенты, за то, что приглашаете своих знакомых, за то, что вы просто есть.
Всех обнимаю и жду в эту среду на нетворкинг.
__Сорри, в этот раз праздничного торжества не будет - сейчас это не уместно.
__27.04 19:00 Кипр, Лимассол, ресторан **Malindi
Thank you Cyprus_iT Partners
General partners:** Servers.com · Exness · Palta · Tech Island · FunCorp · Sociaro · Victor Shaburov (entrepreneur)
Partners: Vizor Games · Venture Crew · Hugery.com · Blinger.io · Prodly · Ortnec · WakeApp · AsusPlus Auditors and Tax Consultants
Supporters: YOUS · Magic Solutions · Bulba Ventures · Glera Games · Wisebits · Two_commas · Tenets Confidentiam · SplitMetrics · Zorka.Agency
t.me/cyprusit
Katya S
2022-04-23 15:15 UTC
Cyprus_iT
**Results of Cyprus tech salaries survey
**Коллеги из [**Palta**](https://t.me/cyprusit/323) подве...
А java тоже не было много в выборке? Нет в списке
Oleg Reshetnikov
2022-04-23 15:16 UTC
Katya S
А java тоже не было много в выборке? Нет в списке
Верно
Lelk
2022-04-23 15:16 UTC
Oleg Reshetnikov
Ничего не понял, но наверное. 😏
Это был опрос среди компаний с фаундерами из России/Украины/Белоруси/Казахстана (постсоветские страны) ? Или общий срез по всем компаниям
Oleg Reshetnikov
2022-04-23 15:17 UTC
Lelk
Это был опрос среди компаний с фаундерами из России/Украины/Белоруси/Казахстана (постсоветские стран...
Мы не делали контроль фаундеров.
И даже не знаем, из каких компаний были ответы.
И даже не знаем, из каких компаний были ответы.
Mentat
2022-04-23 15:34 UTC
Lelk
Это был опрос среди компаний с «постсоветскими» корнями?) В среднем креативным продюсерам с опытом с...
Там и у лидов девопсов денег как у мидлов) много аномалий
iOS Dev
2022-04-23 15:38 UTC
Cyprus_iT
**Results of Cyprus tech salaries survey
**Коллеги из [**Palta**](https://t.me/cyprusit/323) подве...
Подскажите, сколько человек дали ответы для iOS developer?
Dmitrii
2022-04-23 15:48 UTC
Yuriy Dynnikov
а подскажите, что за customer support стоит 5к? Что в обязанностях?)
У суппорта ночные смены зачастую и часто абсолютно упоротые требования к языкам.
Что временами порождает монстров которых найти сложнее чем сеньора на Джаве.
Помню например кейс когда ребята искали суппорт со свободным знанием японского, английского, русского и умением админить Линукс
Что временами порождает монстров которых найти сложнее чем сеньора на Джаве.
Помню например кейс когда ребята искали суппорт со свободным знанием японского, английского, русского и умением админить Линукс
Mentat
2022-04-23 15:51 UTC
Dmitrii
У суппорта ночные смены зачастую и часто абсолютно упоротые требования к языкам.
Что временами поро...
Почему нельзя было это распилить в 2-3 нормальных человека?)
Rustem Gadiev
2022-04-23 15:53 UTC
Mentat
Почему нельзя было это распилить в 2-3 нормальных человека?)
Проще найти одного такого уникума, и платить ему 5-6к, чем троих за 2.5к, со всеми оформлениями, визами и прочим гимором. Плюс еще потеря эффективности на коммуникациях между этими 2-3
Igor Rodnov
2022-04-23 15:58 UTC
Rustem Gadiev
Проще найти одного такого уникума, и платить ему 5-6к, чем троих за 2.5к, со всеми оформлениями, виз...
И самому себе организовать боттлнек и точку отказа. Отличное управленческое решение, чо
Makhmud Shaban
2022-04-23 15:59 UTC
Dmitrii
У суппорта ночные смены зачастую и часто абсолютно упоротые требования к языкам.
Что временами поро...
Надо добивать японский и идти подаваться походу
Rustem Gadiev
2022-04-23 15:59 UTC
Igor Rodnov
И самому себе организовать боттлнек и точку отказа. Отличное управленческое решение, чо
Точно такой же ботлнек будет с 2-3 специалистами))
Yuriy Dynnikov
2022-04-23 16:01 UTC
Rustem Gadiev
Точно такой же ботлнек будет с 2-3 специалистами))
с более заменимыми
Igor Rodnov
2022-04-23 16:02 UTC
Rustem Gadiev
Точно такой же ботлнек будет с 2-3 специалистами))
Если скиллсет будет частично хотя бы перекрываться - уже не будет
Rustem Gadiev
2022-04-23 16:02 UTC
Yuriy Dynnikov
с более заменимыми
Ну вот вы ответили сами на вопрос, откуда саппорт 5к...)))
Curious Barbarian
2022-04-23 16:30 UTC
Cyprus_iT
**Results of Cyprus tech salaries survey
**Коллеги из [**Palta**](https://t.me/cyprusit/323) подве...
Общий флоу: "ни..я не понял, но очень интересно".
Alkorol
2022-04-23 17:05 UTC
Добавлю в список отсутствующих позиций Data analyst и Visualisation/Reporting analyst.
Oleg Reshetnikov
2022-04-23 17:06 UTC
Alkorol
Добавлю в список отсутствующих позиций Data analyst и Visualisation/Reporting analyst.
Хорошо
dimiii
2022-04-23 17:28 UTC
Cyprus_iT
**Results of Cyprus tech salaries survey
**Коллеги из [**Palta**](https://t.me/cyprusit/323) подве...
Как среднее считалось и почему?
Алена
2022-04-23 17:31 UTC
Dmitrii
У суппорта ночные смены зачастую и часто абсолютно упоротые требования к языкам.
Что временами поро...
А какую ЗП предлагали? 🤔
Oleg Reshetnikov
2022-04-23 17:31 UTC
dimiii
Как среднее считалось и почему?
По итогам опроса по каждому показателю считали среднее значение.
dimiii
2022-04-23 17:32 UTC
Cyprus_iT
**Results of Cyprus tech salaries survey
**Коллеги из [**Palta**](https://t.me/cyprusit/323) подве...
Да но какое среднее? Арифметическое или геометрическое? А может медиана?
Dmitrii
2022-04-23 17:34 UTC
Алена
А какую ЗП предлагали? 🤔
Не знаю к сожалению. Запомнилось и узнал про вакансию просто потому что у нас как раз работала девушка которая закончила иняз по специальности японский переводчик, а по окончанию ушла работать в айти, а не по специальности. Мы шутили что вакансию ребята под неё сделали специально. На сколько торговалась не знаю)
Просто я за свою жизнь видел разных специалистов разного уровня и разных стеков.
Но у неё реально было самое уникальное сочетание скиллов которое больше ни у кого не встречал) И самое прикольное что нашлась вакансия на которую именно они нужны были. хотя как айтишник она была на уровне джуна.
Просто я за свою жизнь видел разных специалистов разного уровня и разных стеков.
Но у неё реально было самое уникальное сочетание скиллов которое больше ни у кого не встречал) И самое прикольное что нашлась вакансия на которую именно они нужны были. хотя как айтишник она была на уровне джуна.
Suleiman
2022-04-23 17:53 UTC
Cyprus_iT
**Results of Cyprus tech salaries survey
**Коллеги из [**Palta**](https://t.me/cyprusit/323) подве...
хорошо было бы получить еще и просто голые данные)
dimiii
2022-04-23 18:00 UTC
Suleiman
хорошо было бы получить еще и просто голые данные)
Только так и надо
Алена
2022-04-23 18:01 UTC
Dmitrii
Не знаю к сожалению. Запомнилось и узнал про вакансию просто потому что у нас как раз работала девуш...
Скажите, а какой набор компетенций позволяет считать специалиста джуном? И какие компетенции нужны, чтобы перейти в категорию миддла? Или это только стаж определяет? 😊 Можно в пример привести конкретную специальность. Простите заранее за дилетантский вопрос. Планирую мигрировать в айти.
Dmitrii
2022-04-23 18:11 UTC
Алена
Скажите, а какой набор компетенций позволяет считать специалиста джуном? И какие компетенции нужны, ...
Ну обычно говорят так.
Джун тот кто не может работать самостоятельно.
Миддл тот кто может если поставить задачи.
А вот миддл-синьор тут у каждого свои критерии кажись.
Для меня сеньор если по скиллам это тот кто знает досконально свою область. А не просто копипастит готовые решения и библиотеки. Ну то есть я вот считаю что если на сеньор девопс например претендуешь то ожидается что ты сможешь сам операторы писать для кубера, править код приложений на ходу если надо. Писать чат боты покрывать это тестами. Писать свои модули для ансибла и т.д. Сможешь копаться в ядре линукса и его исходниках. И вот все это)
А не просто кубы куберспреем разворачивать и ансибл
Видел людей кто могут. Они Мега крутые. Я вот не умею так) поэтому считаю себя миддлом хотя аутсорсинга компании продавали меня как сеньора)
Но у каждого своё виденье.
Джун тот кто не может работать самостоятельно.
Миддл тот кто может если поставить задачи.
А вот миддл-синьор тут у каждого свои критерии кажись.
Для меня сеньор если по скиллам это тот кто знает досконально свою область. А не просто копипастит готовые решения и библиотеки. Ну то есть я вот считаю что если на сеньор девопс например претендуешь то ожидается что ты сможешь сам операторы писать для кубера, править код приложений на ходу если надо. Писать чат боты покрывать это тестами. Писать свои модули для ансибла и т.д. Сможешь копаться в ядре линукса и его исходниках. И вот все это)
А не просто кубы куберспреем разворачивать и ансибл
Видел людей кто могут. Они Мега крутые. Я вот не умею так) поэтому считаю себя миддлом хотя аутсорсинга компании продавали меня как сеньора)
Но у каждого своё виденье.
Alexander Gavrushenko (glenngrin)
2022-04-23 18:19 UTC
Алена
Скажите, а какой набор компетенций позволяет считать специалиста джуном? И какие компетенции нужны, ...
Как только начнете думать что вы все знаете и можете решать любую задачу - вы мидл, как только вы пройдете стадию понимания что вы ничего не знаете - вы начнете превращаться в сеньора
Антон Иванов
2022-04-23 18:19 UTC
А когда начинаются наркотики вы уже тимлид xd
Vadim
2022-04-23 18:20 UTC
Dmitrii
Ну обычно говорят так.
Джун тот кто не может работать самостоятельно.
Миддл тот кто может если пост...
Ну шото вернисаж синдрома самозванца
Алена
2022-04-23 18:20 UTC
Dmitrii
Ну обычно говорят так.
Джун тот кто не может работать самостоятельно.
Миддл тот кто может если пост...
Очень доходчиво! Спасибо 🤗 Правда, после слова "кубер" читать стало тяжеловато. Но мы не сдаемся! 😎💪
Алена
2022-04-23 18:22 UTC
Антон Иванов
А когда начинаются наркотики вы уже тимлид xd
В смысле, когда доход начинает позволять закупать их в промышленном масштабе? 😈
Irina I
2022-04-23 18:22 UTC
Alexander Gavrushenko (glenngrin)
Как только начнете думать что вы все знаете и можете решать любую задачу - вы мидл, как только вы пр...
Тогда я с начала карьеры сеньор
Алена
2022-04-23 18:23 UTC
Alexander Gavrushenko (glenngrin)
Как только начнете думать что вы все знаете и можете решать любую задачу - вы мидл, как только вы пр...
Я всегда знала, что я синьор 😎
Max
2022-04-23 18:23 UTC
синьор-помидор
Алена
2022-04-23 18:23 UTC
Морально, по крайней мере...
Alex MarrchCaat
2022-04-23 18:27 UTC
Dmitrii
Ну обычно говорят так.
Джун тот кто не может работать самостоятельно.
Миддл тот кто может если пост...
Я бы иначе сеньоров определил. Одна из особенностей айти-индустрии - тут почти никакую область невозможно "знать досконально", да и не нужно. Потому сеньора отличает больше не объем знаний, а стиль мышления. Там, где сидел, которому поставлена корректная задача, самостоятельно и качественно ее сделает - сеньор проанализирует задачу в контексте технического и функционального бэкграунда проекта, с учётом ожидаемых и возможных перспектив его развития, озвучит разные варианты решения с их плюсами и минусами, предскажет возможные нежелательные побочные эффекты, при необходимости посоветует альтернативные решения, а потом сделает задачу не просто качественно, а наилучшим доступным с учётом всех описанных обстоятельств, так что решение не только будет работать хорошо, но и будет беспроблемным в дальнейшей поддержке и развитии.
Разумеется, это все требует и знаний и опыта, но все же определяющие тут не они.
Разумеется, это все требует и знаний и опыта, но все же определяющие тут не они.
Dmitrii
2022-04-23 18:35 UTC
Alex MarrchCaat
Я бы иначе сеньоров определил. Одна из особенностей айти-индустрии - тут почти никакую область невоз...
Да не это другое. Умение к анализу и декомпозиции задач это скорее к бизнес аналитикам Лидам и архитекторам.
Как по мне.
Просто в компаниях до пары тысяч человек это все примерно одни и теже люди делают.
А вот в тысяч на 10-20 к тебе уже приходят с достаточно ясным тз.
А дальше оказывается что готовые решения в ваши решения и тулзы вообще не вписываются и их надо переделать. Или запалить своё
Как по мне.
Просто в компаниях до пары тысяч человек это все примерно одни и теже люди делают.
А вот в тысяч на 10-20 к тебе уже приходят с достаточно ясным тз.
А дальше оказывается что готовые решения в ваши решения и тулзы вообще не вписываются и их надо переделать. Или запалить своё
Alex MarrchCaat
2022-04-23 18:41 UTC
Dmitrii
Да не это другое. Умение к анализу и декомпозиции задач это скорее к бизнес аналитикам Лидам и архит...
Допускаю, что в таких крупных компаниях более сложная организационная структура. Каюсь, в компаниях, где отдел разработки больше нескольких сотен человек, я ещё не работал... Две имевших место попытки мне не понравились. Хотя допускаю, что могло быть и по-другому...
Dmitrii
2022-04-23 18:47 UTC
Специфичный опыт)
Но прям там есть реальные монстры. Часто вообще которые ничем кроме кода или чего то такого не занимаются. Зато в этом они божественны. И в других местах им наверное будет тупо скучно.
Но прям там есть реальные монстры. Часто вообще которые ничем кроме кода или чего то такого не занимаются. Зато в этом они божественны. И в других местах им наверное будет тупо скучно.
Alex MarrchCaat
2022-04-23 18:49 UTC
Dmitrii
Специфичный опыт)
Но прям там есть реальные монстры. Часто вообще которые ничем кроме кода или чего...
Ну не знаю, не знаю... Не уверен. Хотя возможно всякое.
Алена
2022-04-23 18:50 UTC
Alex MarrchCaat
Допускаю, что в таких крупных компаниях более сложная организационная структура. Каюсь, в компаниях,...
А почему не понравились? Из-за бюрократии?
Dmitrii
2022-04-23 18:51 UTC
Alex MarrchCaat
Ну не знаю, не знаю... Не уверен. Хотя возможно всякое.
О хороший пример известного крутого сеньор девопса это сысоев)
Ещё и коммерчески успешного.
Но все же именно крутого инженера в первую очередь. Который зарешал проблемы апача так сказать с ноги)
А не пытался его тюнить
Ещё и коммерчески успешного.
Но все же именно крутого инженера в первую очередь. Который зарешал проблемы апача так сказать с ноги)
А не пытался его тюнить
Vladislav Lebedev
2022-04-23 18:52 UTC
Всем привет
Alex MarrchCaat
2022-04-23 18:55 UTC
Алена
А почему не понравились? Из-за бюрократии?
Угу. В Боинге я прошел все собеседования (которые растянулись почти на месяц), после чего мне сказали, что нужно ещё от месяца ждать одобрения от их службы безопасности. Я не торопился, мне как раз хотелось немного отдохнуть и ряд личных дел уладить, поэтому неспешно через два с половиной месяца нашел другую работу, и когда через пять месяцев они мне позвонили согласовать детали моей релокации - послал их в жопу. Но это ещё хоть как-то можно понять, хотя все равно тлен, конечно.
В Гугле я тоже прошел все собеседования, получил оффер, а потом они обнаружили, что у меня нет оконченного высшего образования, и оффер отозвали. А это уже тотальный идиотизм. Нафиг нужно работать в конторе, которой наличие корочки важнее всего моих знаний, умений и опыта.
В Гугле я тоже прошел все собеседования, получил оффер, а потом они обнаружили, что у меня нет оконченного высшего образования, и оффер отозвали. А это уже тотальный идиотизм. Нафиг нужно работать в конторе, которой наличие корочки важнее всего моих знаний, умений и опыта.
Eugene Pakhomov
2022-04-23 18:56 UTC
Alex MarrchCaat
Угу. В Боинге я прошел все собеседования (которые растянулись почти на месяц), после чего мне сказал...
О, в Гугле до сих пор требуют ВО? Или это старый опыт?
Alex MarrchCaat
2022-04-23 18:57 UTC
Eugene Pakhomov
О, в Гугле до сих пор требуют ВО? Или это старый опыт?
Это было в январе 2016. Что там с тех пор поменялось - не в курсе.
Alex MarrchCaat
2022-04-23 18:57 UTC
А может, в декабре 2015... Но, думаю, это не очень принципиально.
Andrew Ya
2022-04-23 18:57 UTC
Alex MarrchCaat
Угу. В Боинге я прошел все собеседования (которые растянулись почти на месяц), после чего мне сказал...
у меня так сбертех когда-то оффер отзывал, хотя до защиты диплома оставалось две недели и все были предупреждены о данном факте. гугол удивил конечно...
Vladislav Lebedev
2022-04-23 18:58 UTC
Подскажите пожалуйста, насколько реально релокейтнутся в кипр фронтендеру с 8 лет опыта и инглишем b1?) был тут у кого подобный опыт? Просто приехать и искать работу на месте ?
Eugene Pakhomov
2022-04-23 19:00 UTC
Vladislav Lebedev
Подскажите пожалуйста, насколько реально релокейтнутся в кипр фронтендеру с 8 лет опыта и инглишем b...
В закрепе/описании есть ссылка на HR чат и на инструкцию по релокейту.
Или можно найти работу удалённо и жить тут как визитёр.
Или можно найти работу удалённо и жить тут как визитёр.
Vladislav Lebedev
2022-04-23 19:01 UTC
Понял, сейчас гляну, спасибо
Dmitrii
Ну обычно говорят так.
Джун тот кто не может работать самостоятельно.
Миддл тот кто может если пост...
📄 Document (not supported)
No text content
Vladimir Pankov
2022-04-23 19:02 UTC
Добрый вечер! Как обстоят дела на Кипре с домушниками? Я недавно прочёл о том, что кражи со взломом являются частым явлением. Насколько это правдивая информация?
Max
2022-04-23 19:08 UTC
Vladimir Pankov
Добрый вечер! Как обстоят дела на Кипре с домушниками? Я недавно прочёл о том, что кражи со взломом ...
Сам столкнулся с кражей из дома в Пиле: обчистили наличку из одежды и сумок, зашли просто ночью в незапертую дверь) В прошлом году у коллеги квартиру выставили в Ларнаке (ноут, деньги)
Vladimir Pankov
2022-04-23 19:10 UTC
Я планировал развернуть на Кипре домашний офис со стационарным компьютером и прочей техникой. Получается, это плохая идея, и дома лучше ничего ценного не хранить?
Max
2022-04-23 19:12 UTC
Я не знаю насколько это массово, лучше где то статистику поискать.
Max
2022-04-23 19:14 UTC
Я сам год прожил с открытыми дверьми)
Vladimir Pankov
2022-04-23 19:15 UTC
Как вы поступили после кражи? Переехали в другой район/поселились не на первом этаже/что-то другое?
Max
2022-04-23 19:16 UTC
Начал закрывать дверь) и не оставлять сумки на 1 этаже. Думаю камеру повесить
Vladimir Pankov
2022-04-23 19:16 UTC
Мне самому импонирует вариант с домом и открытыми дверьми, но, видимо, не судьба)
Dmitrii
2022-04-23 19:17 UTC
Вот вроде говорят что тут воруют. Но когда иду по улице и вижу мотоциклы со шлемами на руле и открытыми кофрами. Вспоминаю что в России так никогда не рисковал оставлять… да и вообще байк редко оставлял не пристегнув цепью или замком и не спрятав подчехол)
Elena
2022-04-23 19:17 UTC
Учитывая беженцев и эмигрантов, закрывайте двери, ребят)
Алена
2022-04-23 19:17 UTC
Вроде в жилье под сдачу часто сейфы есть. Для малогабаритных ценностей
Dmitrii
2022-04-23 19:19 UTC
А тут на сигналку не ставят квартиры?
Я думал в любой стране можно при желании
Я думал в любой стране можно при желании
Max
2022-04-23 19:20 UTC
Тут много сесурити контор, но если у них скорость реагирования как у всех местных, то толку нет)
Lia
2022-04-23 19:20 UTC
Алена
Вроде в жилье под сдачу часто сейфы есть. Для малогабаритных ценностей
У нас у соседей выломали сейф из шкафа и унесли....
Max
2022-04-23 19:20 UTC
Соседи британцы ставят на сигналку, она мило вопит ночами, но чтобы кто-то приезжал я не видел
Алена
2022-04-23 19:22 UTC
Lia
У нас у соседей выломали сейф из шкафа и унесли....
Мы снимали в Ларнаке квартиру - маленький типовой сейф был вделан в пол. Не знаю, насколько это надёжно, но сдвинуть его было нереально.
Vladimir Pankov
2022-04-23 19:23 UTC
Говорят ещё, что велики тырят активно
Elena
2022-04-23 19:26 UTC
На пляже вещи крадут) дорогое не берите с собой)
Vadim
2022-04-23 19:37 UTC
Elena
Учитывая беженцев и эмигрантов, закрывайте двери, ребят)
Это мы есичо😛
Eugene Pakhomov
2022-04-23 19:39 UTC
Vadim
Это мы есичо😛
Но... ведь русские друг друга не обманывают... :)
Olive_twig 🧅
2022-04-23 19:56 UTC
Я как то в доме без окон и замка на двери жила в Мексике, Сан Панчо, ривьера Найарит... дома был планшетник, телефон, нал, паспорт, карты... Всё обошлось. Потом поставили окна))
Elena
2022-04-23 20:02 UTC
Ну машины глупо угонять на острове)
Mentat
2022-04-23 20:09 UTC
Elena
Ну машины глупо угонять на острове)
По легендам машины исчезают на северной части, и потом уже запчастями расходятся во все стороны.
Elena
2022-04-23 20:11 UTC
И часто такое бывает?…
Mentat
2022-04-23 20:11 UTC
Ну не мое, я байки пересказываю
Katerina
2022-04-23 20:12 UTC
Dmitrii
Ну обычно говорят так.
Джун тот кто не может работать самостоятельно.
Миддл тот кто может если пост...
Мне ещё понравилось «синьер не задаёт вопросы, он на них отвечает»
Illia Hai
2022-04-23 20:15 UTC
Katerina
Мне ещё понравилось «синьер не задаёт вопросы, он на них отвечает»
джун не может сделать проект в одиночку, а синьор — не хочет. :D
Eugene Pakhomov
2022-04-23 20:21 UTC
Ну, в результатах опроса они ж мелькали. :)
Katerina
2022-04-23 20:21 UTC
Уже ж 10 ка, не?)
Illia Hai
2022-04-23 20:25 UTC
это НДС
Illia Hai
2022-04-23 20:26 UTC
в чате есть мои коллеги, поэтому я комментировать не буду :D
R G
2022-04-23 20:41 UTC
Привет! Извинюсь что не по теме чата, но слышал что сегодня планируется сожжение иуды, костры и соответсвующее. Кто то знает в Никосии где то подобное будет ?
Katherine
2022-04-23 20:44 UTC
Вот бы кто по Лимассолу подсказал - у Agia Napa cathedral никаких иуд нет (
Alex MarrchCaat
2022-04-23 20:48 UTC
Так видит ситуацию тот, кто проработал в этой индустрии уже 29 лет, из них примерно половину руководит разработкой...
Yulia Averianova
2022-04-23 20:50 UTC
Katherine
Вот бы кто по Лимассолу подсказал - у Agia Napa cathedral никаких иуд нет (
к Святому Николаю в Неаполисе надо
Illia Hai
2022-04-23 20:51 UTC
Katherine
Вот бы кто по Лимассолу подсказал - у Agia Napa cathedral никаких иуд нет (
На звук идите
Elena
2022-04-23 20:52 UTC
Люблю юмор айтишников
Alex MarrchCaat
2022-04-23 21:00 UTC
Простите, поскольку непрерывно читать чаты никакого времени и возможности не хватит, то привык, когда возникает пауза, тогда быстро и проглядывать, что где интересного и что мне написали. И отвечаю, соответственно, по порядку прочтения, иначе нереально... 🤷♂
Alex MarrchCaat
2022-04-23 21:01 UTC
А так-то да, шутка хорошая вышла :)
Ребята, чья собака ?! С мужем шли и нашли испуганную собаку. Видимо испугался взрывов.
Olive_twig 🧅
2022-04-23 21:25 UTC
Darya
Ребята, чья собака ?! С мужем шли и нашли испуганную собаку. Видимо испугался взрывов.
Какой несчастный!!! Пусть найдётся❤
tchertovrog
2022-04-23 21:27 UTC
Darya
Ребята, чья собака ?! С мужем шли и нашли испуганную собаку. Видимо испугался взрывов.
В каком городе? Может разошлем по разным чатам чтоб быстрей нашелся?
Darya
2022-04-23 21:29 UTC
tchertovrog
В каком городе? Может разошлем по разным чатам чтоб быстрей нашелся?
Limassol, Mesa Getonia. Буду очень признательна. Может кто-то знает чаты с киприотами ?
tchertovrog
2022-04-23 21:30 UTC
Чатов с киприотами не знаю к сожалению
Eugene Pakhomov
2022-04-23 21:31 UTC
Darya
Limassol, Mesa Getonia. Буду очень признательна. Может кто-то знает чаты с киприотами ?
В закрепе и описании есть ссылка на чат про животных - может, там уже ищут даже.
Darya
2022-04-23 21:31 UTC
Eugene Pakhomov
В закрепе и описании есть ссылка на чат про животных - может, там уже ищут даже.
Туда первым делом написала. Спасибо
Darya
2022-04-23 21:39 UTC
Спасибо вам, это отличная идея. Как-то не сообразили сразу.
N M
2022-04-23 21:44 UTC
tchertovrog
Чатов с киприотами не знаю к сожалению
Lost & Found Pets of Cyprus
это на фб основная группа по потерявшимся животным, там и киприоты тоже
это на фб основная группа по потерявшимся животным, там и киприоты тоже
Αικατερίνη Fox
2022-04-23 22:17 UTC
Кто в курсе чё там полиция за малолетками носится по грива дегини?
Alexey
2022-04-23 22:45 UTC
Darya
Спасибо вам, это отличная идея. Как-то не сообразили сразу.
В клинике может быть не общая база, а своя, кажется. Обязательно в полицию зарегистрируйте, когда получите номер чипа - они запросят общую базу.
277 messages on this day