Channels / CY iT HR
CY iT HR
@cyprusithr · supergroup
📎 Webpage (not supported)
#резюме #uxui #design #webdesign #cv #uiuxdesign
Добрый день!
Меня зовут Климентьева Мария. Я junoir-designer. Опыт работы - 1 год. Ищу удаленную работу, но готова рассмотреть релокацию.
Мои навыки:
Проектирование интерфейсов
Дизайн для Android и iOS
UX-прототипирование
Анимация в Figma, ProtoPie, Principal
Дизайн, редизайн сайтов
Продуктовый дизайн
Дизайн адаптивов
Создание иконок
Дизайн шаблонов/макетов презентаций
Владею такими инструментами, как:
Figma
Adobe Photoshop
Adobe Illustrator
Adobe Indesign
Principle
Protopie
Tilda
Так же владею английским языком на уровне Upper-Intermediate (B2).
Портфолио, демонстрирующие мои навыки, как дизайнера: https://www.behance.net/klimenteva_mari
Мои контакты:
@masha569 - телеграм
[email protected] - почта
Спасибо за уделенное мне время. Буду рада возможности поработать с вами!
Добрый день!
Меня зовут Климентьева Мария. Я junoir-designer. Опыт работы - 1 год. Ищу удаленную работу, но готова рассмотреть релокацию.
Мои навыки:
Проектирование интерфейсов
Дизайн для Android и iOS
UX-прототипирование
Анимация в Figma, ProtoPie, Principal
Дизайн, редизайн сайтов
Продуктовый дизайн
Дизайн адаптивов
Создание иконок
Дизайн шаблонов/макетов презентаций
Владею такими инструментами, как:
Figma
Adobe Photoshop
Adobe Illustrator
Adobe Indesign
Principle
Protopie
Tilda
Так же владею английским языком на уровне Upper-Intermediate (B2).
Портфолио, демонстрирующие мои навыки, как дизайнера: https://www.behance.net/klimenteva_mari
Мои контакты:
@masha569 - телеграм
[email protected] - почта
Спасибо за уделенное мне время. Буду рада возможности поработать с вами!
Andrey Lisek 🍒
2022-04-23 05:36 UTC
#cv #resume #projectmanager #productmanager #fulltime #remote #relocate
Всем привет, неспеша присматриваю новое место работы руководителем проекта, продукта, программ проектов, портфеля проектов или руководителем проектного офиса (направления) с дальнейшей релокацией.
Меня зовут Андрей, я руководитель проектного направления во взрослом финтех-стантапе.
Высшее образование "Математик, системный программист". Профессиональная переподготовка в объеме 272 а.ч. по направлению - "Руководитель (менеджер) проектов".
Постоянно занимаюсь самообразованием, саморазвитием, в "копилке" знаний успешно пройденные курсы, в т.ч. сертифицированные компании "Microsoft", Курсы по ведению проектов на основе PMBok (PMI), Курсы по ведению проектов с применением Agile методологий.
Имею за плечами десять лет опыта в технической сфере.
В течение пяти последних лет успешно руководил двадцатью B2B и B2G проектами и подпроектами.
Ожидания по зарплате: 4000 - 5000 EUR
ТОП-3 успешных кейса за последний год:
1. Запустил MVP кредитного конвейера с ТОП-5 Российским Банком от стадии инициации до выхода в продакшн, что приносит компании ежемесячную прибыль 2-5 млн.;
2. Провёл успешный пресейл и сформировал требования к кредитному конвейеру для крупного международного Банка. После запуска проекта в продакшн потенциально принесёт компании ежемесячную прибыль 1-2 млн.;
3. Наладил коммуникационные и технические процессы на совместном проекте с лизинговой организацией, что позволило оптимизировать проектную команду с двух сторон и сократить ежемесячный расход на 500 т.р.
Английский: B2
CV по запросу, линкдин открыт для контактов.
https://www.linkedin.com/in/andrey-kochetkov-182aa3200/
Всем привет, неспеша присматриваю новое место работы руководителем проекта, продукта, программ проектов, портфеля проектов или руководителем проектного офиса (направления) с дальнейшей релокацией.
Меня зовут Андрей, я руководитель проектного направления во взрослом финтех-стантапе.
Высшее образование "Математик, системный программист". Профессиональная переподготовка в объеме 272 а.ч. по направлению - "Руководитель (менеджер) проектов".
Постоянно занимаюсь самообразованием, саморазвитием, в "копилке" знаний успешно пройденные курсы, в т.ч. сертифицированные компании "Microsoft", Курсы по ведению проектов на основе PMBok (PMI), Курсы по ведению проектов с применением Agile методологий.
Имею за плечами десять лет опыта в технической сфере.
В течение пяти последних лет успешно руководил двадцатью B2B и B2G проектами и подпроектами.
Ожидания по зарплате: 4000 - 5000 EUR
ТОП-3 успешных кейса за последний год:
1. Запустил MVP кредитного конвейера с ТОП-5 Российским Банком от стадии инициации до выхода в продакшн, что приносит компании ежемесячную прибыль 2-5 млн.;
2. Провёл успешный пресейл и сформировал требования к кредитному конвейеру для крупного международного Банка. После запуска проекта в продакшн потенциально принесёт компании ежемесячную прибыль 1-2 млн.;
3. Наладил коммуникационные и технические процессы на совместном проекте с лизинговой организацией, что позволило оптимизировать проектную команду с двух сторон и сократить ежемесячный расход на 500 т.р.
Английский: B2
CV по запросу, линкдин открыт для контактов.
https://www.linkedin.com/in/andrey-kochetkov-182aa3200/
Evgeny Besschastnov
2022-04-23 08:35 UTC
Ищем в офис мобильной компании в Лимассоле с релокейтом, можно начать удалённо из своей страны:
— Senior PM (experience in Mobile!, fluent English!)
— Lead iOS dev (good verbal English)
— iOS dev
— UX/UI (mobile)
— UA
— QA
Резюме мне в ЛС
#vacancy
— Senior PM (experience in Mobile!, fluent English!)
— Lead iOS dev (good verbal English)
— iOS dev
— UX/UI (mobile)
— UA
— QA
Резюме мне в ЛС
#vacancy
📄 Document (not supported)
Добрый день! Меня зовут Сергей, мне 20 лет.
Ищу любую работу связанную с IT
Опыт работы вы можете посмотреть в резюме!
В данный момент изучаю iOS develop. Проживаю в Лимассоле.
Ищу любую работу связанную с IT
Опыт работы вы можете посмотреть в резюме!
В данный момент изучаю iOS develop. Проживаю в Лимассоле.
Vladislav Ch
2022-04-23 09:18 UTC
#cv #resume #iOS #fulltime #remote #relocate
Формат работы: удаленная/гибрид/офис/релокейт
Занятость: полная
Ожидания по зарплате: от 5000$
Немного обо мне:
Более 5 лет коммерческого опыта работы в iOS
Энтерпрайз проекты, еком, финтех
Стек:
- Swift, Objective-C
- CocoaPods, SPM, Carthage
- MVC, MVP, MVVM
- Foundation, AVFoundation, MapKit, PassKit, UIKit, CoreData, CoreBluetooth, QuartzCore, SwiftUI, Combine, Network
- Сервисы аналитик
- Сервисы карт
- Realm
- CommonCrypto, Security, OWASP MSTG
- токенизация карты
- и многое многое другое
Резюме и остальная информация в лс
Связь @FapL0rd
Формат работы: удаленная/гибрид/офис/релокейт
Занятость: полная
Ожидания по зарплате: от 5000$
Немного обо мне:
Более 5 лет коммерческого опыта работы в iOS
Энтерпрайз проекты, еком, финтех
Стек:
- Swift, Objective-C
- CocoaPods, SPM, Carthage
- MVC, MVP, MVVM
- Foundation, AVFoundation, MapKit, PassKit, UIKit, CoreData, CoreBluetooth, QuartzCore, SwiftUI, Combine, Network
- Сервисы аналитик
- Сервисы карт
- Realm
- CommonCrypto, Security, OWASP MSTG
- токенизация карты
- и многое многое другое
Резюме и остальная информация в лс
Связь @FapL0rd
Pavel K
2022-04-23 11:04 UTC
#vacancy #techsupport #job #coding #advanced_english
Senior Technical Support Engineer (L2/L3)
About us:
FINOM is a financial-technology startup designed to simplify the life of entrepreneurs in Europe. Our product pools accounting, financial management and banking functions in a single mobile-first product to manage finance as easy as using a smartphone.
We started in 2019, and in April 2020 as a B2B-challenger we gained the support from large venture firms from Silicon Valley such as General Catalyst, Target Global and FJ Labs.
Now we are looking for a Senior Technical Support Engineer.
You will be doing:
• Analyze, locate and support Customers with the solutions of their issues
• Collaborate with internal Development and Testing Teams on issues solving
• Advise our colleagues from different countries on technical matters
• Track tickets in Jira
• Being able writing complex PostgreSQL queries
We expect that you:
• Strive to help customers to find the best solution of their issue
• Have excellent knowledge of database management systems, preferably PostgreSQL
• English at least B2/C1 level, you'll be communicating a lot with foreign colleagues
• Time management – strict compliance with SLA, prompt response. Must have experience with different bug-tracking systems, esp. Jira
• Very good at reading logs
• Excellent understanding of HTTP protocol and network
• Know how to code, language doesn't matter, sometimes you might want to automate a routine task.
We offer:
• Relocation
• Working at fintech project under a contract in a European company;
• The most advanced development technologies;
• Payment for sick leave and vacation;
• Remote work and flexible schedule;
• Decent salary;
• Bonuses for project success;
• Friendly international team and interesting challenges;
• Attending trainings, conferences;
• Internal Mentoring Program for Knowledge Sharing;
• The ability to influence the processes in the company.
• For applications please forward your CV to telegram @pavelk27
Senior Technical Support Engineer (L2/L3)
About us:
FINOM is a financial-technology startup designed to simplify the life of entrepreneurs in Europe. Our product pools accounting, financial management and banking functions in a single mobile-first product to manage finance as easy as using a smartphone.
We started in 2019, and in April 2020 as a B2B-challenger we gained the support from large venture firms from Silicon Valley such as General Catalyst, Target Global and FJ Labs.
Now we are looking for a Senior Technical Support Engineer.
You will be doing:
• Analyze, locate and support Customers with the solutions of their issues
• Collaborate with internal Development and Testing Teams on issues solving
• Advise our colleagues from different countries on technical matters
• Track tickets in Jira
• Being able writing complex PostgreSQL queries
We expect that you:
• Strive to help customers to find the best solution of their issue
• Have excellent knowledge of database management systems, preferably PostgreSQL
• English at least B2/C1 level, you'll be communicating a lot with foreign colleagues
• Time management – strict compliance with SLA, prompt response. Must have experience with different bug-tracking systems, esp. Jira
• Very good at reading logs
• Excellent understanding of HTTP protocol and network
• Know how to code, language doesn't matter, sometimes you might want to automate a routine task.
We offer:
• Relocation
• Working at fintech project under a contract in a European company;
• The most advanced development technologies;
• Payment for sick leave and vacation;
• Remote work and flexible schedule;
• Decent salary;
• Bonuses for project success;
• Friendly international team and interesting challenges;
• Attending trainings, conferences;
• Internal Mentoring Program for Knowledge Sharing;
• The ability to influence the processes in the company.
• For applications please forward your CV to telegram @pavelk27
Affiliate Set
2022-04-23 11:20 UTC
#vacancy Poker ♥️ ♦️ ♣️ платформа в Limassol ищет business dev/affiliate manager кандидатов, важно с опытом в poker igaming индустрии. Скидывайте пожалуйста ваши CV в личку.
📄 Document (not supported)
#python #relocate #vacancy #job #work #cv #резюме #backend
Всем привет! Ищу вакансию python разработчика с релокацией или удаленной работы.
О себе:
Опыт работа 3 года
Работал в Сбербанк, Крок Инкорпорейтед, Севергазбанк.
Стек техлогогий: Python, django, flask, docker, fastApi, postgresql, asyncIO, pytest, flake8
Интересует полная занятость.
Буду рад всем предложениям! Перешлите, пожалуйста, вашим HR
https://www.linkedin.com/in/rmgn/
Всем привет! Ищу вакансию python разработчика с релокацией или удаленной работы.
О себе:
Опыт работа 3 года
Работал в Сбербанк, Крок Инкорпорейтед, Севергазбанк.
Стек техлогогий: Python, django, flask, docker, fastApi, postgresql, asyncIO, pytest, flake8
Интересует полная занятость.
Буду рад всем предложениям! Перешлите, пожалуйста, вашим HR
https://www.linkedin.com/in/rmgn/
📄 Document (not supported)
#project #agile #scrum #управление #management #projectmanager #резюме #CV #Удалёнка
**Доброго времени суток!
**Ищу компанию с возможностью занять должность Project Manager или ассистента Project Manager.
__Опыт работы:
__- Создавал Личный Кабинет и несколько отдельных страниц на сайте стартапа, руководил командой из 10 человек;
- Планировал работу по проекту, приоритезировал задачи и при необходимости корректировал их;
- Работал над созданием ботов в ТГ для взаимодействия с аудиторией компании;
- Считал и анализировал расходы на реализацию проекта;
- Ставил задачи, формулировал техническое задание и контролировал их исполнение членами команды (при использовании Trello и Jira);
- Тестировал наработки для оценки удобства использования и вносил правки в случае неисправности;
- Согласовывал с заказчиком промежуточные вопросы касательно проекта;
- Подготавливал и проводил презентацию проекта.
Прикрепляю резюме с более детальной информацией.
@mikhalyash Рад обсудить детали и ответить на интересующие вопросы.
**Доброго времени суток!
**Ищу компанию с возможностью занять должность Project Manager или ассистента Project Manager.
__Опыт работы:
__- Создавал Личный Кабинет и несколько отдельных страниц на сайте стартапа, руководил командой из 10 человек;
- Планировал работу по проекту, приоритезировал задачи и при необходимости корректировал их;
- Работал над созданием ботов в ТГ для взаимодействия с аудиторией компании;
- Считал и анализировал расходы на реализацию проекта;
- Ставил задачи, формулировал техническое задание и контролировал их исполнение членами команды (при использовании Trello и Jira);
- Тестировал наработки для оценки удобства использования и вносил правки в случае неисправности;
- Согласовывал с заказчиком промежуточные вопросы касательно проекта;
- Подготавливал и проводил презентацию проекта.
Прикрепляю резюме с более детальной информацией.
@mikhalyash Рад обсудить детали и ответить на интересующие вопросы.
Unknown
2022-04-23 13:11 UTC
photo
User 5287804798
2022-04-23 13:19 UTC
#вакансия #middle #senior #backend #Golang #Go #fulltime #remote golang
#Cyprus**
Вакансия: GO developer
Компания: C8 (продуктовая кипрская компания)
Локация кандидата: **#Кипр**
Требуемый опыт работы: от 3х лет (на коммерческих проектах)
Условия: ЗП от 3500 до 6000 usd gross
Английский: Upper Intermediate и выше
Формат работы: удаленно
Формат сотрудничества: ИП, B2B контракт
**🔹Требования:
- опыт коммерческой разработки на Go от 2х лет
- опыт с CI/CD
- опыт с NoSQL, REST API
🔹Обязанности
- Написание чистого, хорошо структурированного кода
– Ревью кода
- Участие в планировании задач
🟧 telegram @your_recruiter007**
**Пожалуйста, присылайте ваше резюме.
🟪 Мы нанимаем кандидатов только из 2х локаций: Польша и Кипр. Так же рассматриваем кандидатов, которые в самое ближайшее время переезжают в Польшу либо Кипр.
#Cyprus**
Вакансия: GO developer
Компания: C8 (продуктовая кипрская компания)
Локация кандидата: **#Кипр**
Требуемый опыт работы: от 3х лет (на коммерческих проектах)
Условия: ЗП от 3500 до 6000 usd gross
Английский: Upper Intermediate и выше
Формат работы: удаленно
Формат сотрудничества: ИП, B2B контракт
**🔹Требования:
- опыт коммерческой разработки на Go от 2х лет
- опыт с CI/CD
- опыт с NoSQL, REST API
🔹Обязанности
- Написание чистого, хорошо структурированного кода
– Ревью кода
- Участие в планировании задач
🟧 telegram @your_recruiter007**
**Пожалуйста, присылайте ваше резюме.
🟪 Мы нанимаем кандидатов только из 2х локаций: Польша и Кипр. Так же рассматриваем кандидатов, которые в самое ближайшее время переезжают в Польшу либо Кипр.
Aytugan Khafizov
2022-04-23 15:04 UTC
Unknown
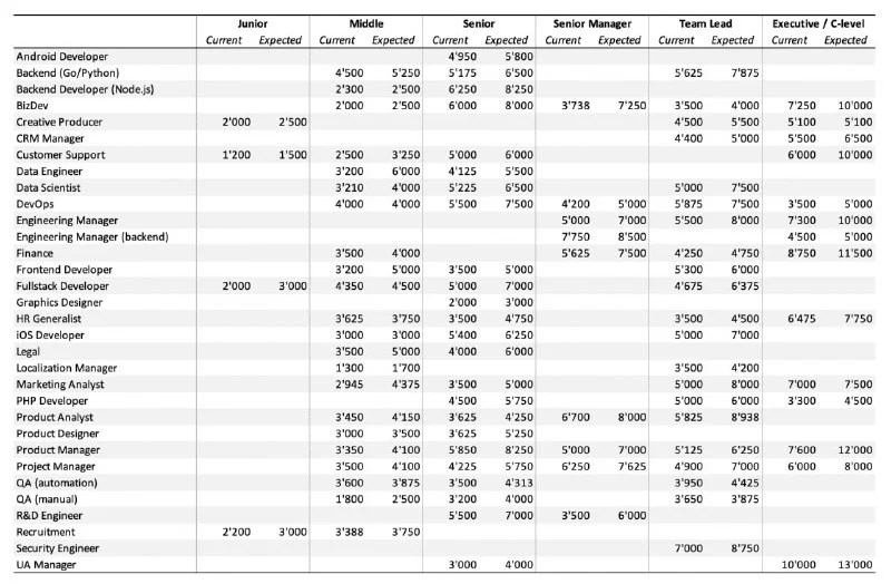
**Results of Cyprus tech salaries survey
**Коллеги из [**Palta**](https://t.me/cyprusit/323) подве...
Табличка огонь, большое спасибо!
Чтобы не было двусмыслия, пожалуйста добавьте в пост - это гросс или нет зарплаты
Чтобы не было двусмыслия, пожалуйста добавьте в пост - это гросс или нет зарплаты
Unknown
2022-04-23 15:08 UTC
Aytugan Khafizov
Табличка огонь, большое спасибо!
Чтобы не было двусмыслия, пожалуйста добавьте в пост - это гросс ил...
В оригинальном посте отметил что NET
К сожалению, телеграм не даёт возможности править "Форвард" сообщения.
К сожалению, телеграм не даёт возможности править "Форвард" сообщения.
Unknown
2022-04-23 15:16 UTC
webpage
📎 Webpage (not supported)
Пожалуйста, давайте все обсуждения в комментариях к оригинальному посту.
https://t.me/cyprusit/458
https://t.me/cyprusit/458
Vladislav Lebedev
2022-04-23 19:29 UTC
#javascript #typescrip
Всем привет, ищу работу с релокейтом на Кипр (могу приехать сам), в продуктовой разработке с 17 лет, общий опыт 8 лет, в основном занимаюсь фронтендом (typescript, mobx, rx, redux, webgl, canvas, d3 и все такое) имел опыт и на бэкэнде (c#, nodejs), учу rust, готов вкалывать
Всем привет, ищу работу с релокейтом на Кипр (могу приехать сам), в продуктовой разработке с 17 лет, общий опыт 8 лет, в основном занимаюсь фронтендом (typescript, mobx, rx, redux, webgl, canvas, d3 и все такое) имел опыт и на бэкэнде (c#, nodejs), учу rust, готов вкалывать
16 messages on this day