Channels / Cyprus_iT chat
Cyprus_iT chat
@badcyprus · supergroup
Svetlana
2023-08-07 05:46 UTC
Ребята, всем привет ☀️ скажите, пожалуйста, на какую вилку по зп сейчас можно ориентироваться ручному тестеру( в основном бекенд) , с опытом 3+ года? 🤷🏼♀️
Maxim Fomichev
2023-08-07 05:48 UTC
Svetlana
Ребята, всем привет ☀️ скажите, пожалуйста, на какую вилку по зп сейчас можно ориентироваться ручном...
Учитывая ситуацию на рынке - на алюминиевую
Svetlana
2023-08-07 05:48 UTC
Maxim Fomichev
Учитывая ситуацию на рынке - на алюминиевую
Смешная шутка 😊 вакансии есть, но зп нигде не указана🤷🏼♀️
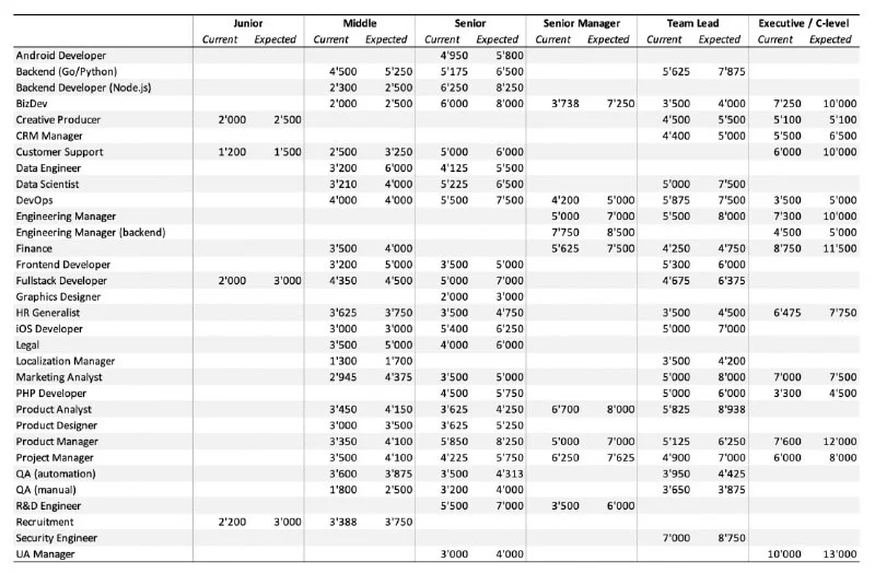
**Results of Cyprus tech salaries survey
Коллеги из Palta** подвели итоги опроса про NET зарплаты кипрского IT сектора и собрали более 350 ответов в понятную таблицу.
Пользуйтесь сами, делитесь с другими.
Всем большое спасибо за участие в опросе и за обсуждения.
Useful information by Cyprus_iT
Коллеги из Palta** подвели итоги опроса про NET зарплаты кипрского IT сектора и собрали более 350 ответов в понятную таблицу.
Пользуйтесь сами, делитесь с другими.
Всем большое спасибо за участие в опросе и за обсуждения.
Useful information by Cyprus_iT
Suleiman
2023-08-07 05:53 UTC
вот небольшой рынок Кипра по зарплатам)
Всем привет. Проколол шину в 0 в Гермасойе. Кто-нибудь знает, есть какой-то выездной сервис?
Olga Odintsova
2023-08-07 05:58 UTC
Dmitrii
Всем привет. Проколол шину в 0 в Гермасойе. Кто-нибудь знает, есть какой-то выездной сервис?
скорее всего ваша страховая
UPD
В закрепе есть авточат, в котором есть различные контакты на все случаи
UPD
В закрепе есть авточат, в котором есть различные контакты на все случаи
Dmitry
2023-08-07 06:09 UTC
Dmitrii
Всем привет. Проколол шину в 0 в Гермасойе. Кто-нибудь знает, есть какой-то выездной сервис?
Есть
+357 96 432900
+357 96 432900
Oleg Reshetnikov
2023-08-07 06:21 UTC
Svetlana
Ребята, всем привет ☀️ скажите, пожалуйста, на какую вилку по зп сейчас можно ориентироваться ручном...
В закрепе на канале @cyprusit есть зарплатный обзор.
Изучите плиз.
Изучите плиз.
Oleg Reshetnikov
2023-08-07 06:21 UTC
Dmitrii
Всем привет. Проколол шину в 0 в Гермасойе. Кто-нибудь знает, есть какой-то выездной сервис?
Звони в свою страховую - у тебя роад-ассист 24/7 влючен.
Бесплатно и оперативно всё сделают.
Бесплатно и оперативно всё сделают.
Denis Akimov
2023-08-07 06:36 UTC
Всем доброго дня! Ищу детский садик в Лимасоле, посоветуйте, пожалуйста, чатик.
Oleg Reshetnikov
2023-08-07 06:39 UTC
Denis Akimov
Всем доброго дня! Ищу детский садик в Лимасоле, посоветуйте, пожалуйста, чатик.
Выбирайте себе из списка частных дошкольных учреждений
Там по регионам, с указанием основного языка.
Есть телефоны и другие контакты.
https://archeia.moec.gov.cy/mc/363/en_private_preprimary.pdf
Там по регионам, с указанием основного языка.
Есть телефоны и другие контакты.
https://archeia.moec.gov.cy/mc/363/en_private_preprimary.pdf
Adik Alikov
2023-08-07 06:54 UTC
Dmitrii
Всем привет. Проколол шину в 0 в Гермасойе. Кто-нибудь знает, есть какой-то выездной сервис?
Сергей приедет и починит колесо за 5 минут 96432900
Elena
2023-08-07 07:13 UTC
Всем привет! При пересечении границы с Северным Кипром документы на машину надо показывать?
Michael
2023-08-07 07:15 UTC
Elena
Всем привет! При пересечении границы с Северным Кипром документы на машину надо показывать?
Страховку, делается на границе.
Cyprus_iT
2023-08-07 08:45 UTC
CY Weekly Events Overview 07.08-13.08 by **Cyprus_iT
**
01.08-08.08 18th Limassol International Documentary Festival
09.08-12.08 22nd Countryside Animafest Cyprus Views of the World
09.08 19:00 **#302 Cyprus_iT Networking (iT_Party)
**09.08 20:00 STAND UP – Руслан Халитов
12.08 08:00 FridayСlub Golf Meetup
12.08 11:00 FridayСlub Business Breakfast
11.08 20:30 Perseids at Riverland Bio Farm, Kampia
12.08 19:30 Perseids Meteor Shower -Telescope Observations
13.08 18:00 ETH Cyprus Meetup (Last IRL Meetup of 2023)
**CY Events
**🎙 **Concerts, Exhibitions and other Creative events
🦄** **Digital, IT & other Business events
🏆** Sports events __(in progress)
__**———
Useful information by Cyprus_iT**
**
01.08-08.08 18th Limassol International Documentary Festival
09.08-12.08 22nd Countryside Animafest Cyprus Views of the World
09.08 19:00 **#302 Cyprus_iT Networking (iT_Party)
**09.08 20:00 STAND UP – Руслан Халитов
12.08 08:00 FridayСlub Golf Meetup
12.08 11:00 FridayСlub Business Breakfast
11.08 20:30 Perseids at Riverland Bio Farm, Kampia
12.08 19:30 Perseids Meteor Shower -Telescope Observations
13.08 18:00 ETH Cyprus Meetup (Last IRL Meetup of 2023)
**CY Events
**🎙 **Concerts, Exhibitions and other Creative events
🦄** **Digital, IT & other Business events
🏆** Sports events __(in progress)
__**———
Useful information by Cyprus_iT**
Anastasia
2023-08-07 13:45 UTC
Добрый день. Может ли кто то подсказать, есть ли на Кипре Посольство Беларусии?
NightWatch
2023-08-07 13:49 UTC
Anastasia
Добрый день. Может ли кто то подсказать, есть ли на Кипре Посольство Беларусии?
было почётное консульство
теперь вроде уже нет
теперь вроде уже нет
Oleg Reshetnikov
2023-08-07 13:51 UTC
Anastasia
Добрый день. Может ли кто то подсказать, есть ли на Кипре Посольство Беларусии?
Нету. В Болгарии всё.
Но лучше детали поискать в чате @cylaw
Но лучше детали поискать в чате @cylaw
Vasiliy Petrenko
2023-08-07 14:55 UTC
Michael
Страховку, делается на границе.
А вот для оформления страховки потребуется котчани (свидетельство о регистрации тс) или его скан-копия.
Evgeniy Samoshuk
2023-08-07 14:56 UTC
Всем привет!
Подскажите, пожалуйста, чайные магазинчики.
Желательно с доставкой
Подскажите, пожалуйста, чайные магазинчики.
Желательно с доставкой
Irina I
2023-08-07 14:56 UTC
Evgeniy Samoshuk
Всем привет!
Подскажите, пожалуйста, чайные магазинчики.
Желательно с доставкой
Coffee Cantata Cyprus
Michael
2023-08-07 14:58 UTC
Vasiliy Petrenko
А вот для оформления страховки потребуется котчани (свидетельство о регистрации тс) или его скан-коп...
Номер достаточно сказать, но можно и копию взять
Storic
2023-08-07 16:44 UTC
Всем привет, кто летал визэир, там номер паспорта не просят при покупке билета, только имя и фамилия - это норм?)
Alexey
2023-08-07 16:44 UTC
Storic
Всем привет, кто летал визэир, там номер паспорта не просят при покупке билета, только имя и фамилия...
Да, обычное дело. Паспорт нужен на регистрации
Евгения Кушнарева
2023-08-07 16:45 UTC
Storic
Всем привет, кто летал визэир, там номер паспорта не просят при покупке билета, только имя и фамилия...
Насколько помню, паспорт заполняют при регистрации
Abralet
2023-08-07 16:47 UTC
Dmitrii
Мне кажется уже в любом случае не актуально. За год многое изменилось
В какую сторону?
Curious Barbarian
2023-08-07 19:38 UTC
Dmitrii
Выросли но и цены выросли
Спорно. Зп как цена ресурса подвержены колебаниям спроса и предложения...
Тоже с интересом жду опроса.
Тоже с интересом жду опроса.
Nikita
2023-08-07 21:00 UTC
Dmitrii
Всем привет. Проколол шину в 0 в Гермасойе. Кто-нибудь знает, есть какой-то выездной сервис?
Ставите запаску и потом спокойно едете в сервис
Nikita
2023-08-07 21:00 UTC
Два раза прокалывал колесо, ставил докатку
Oleg Reshetnikov
2023-08-07 21:10 UTC
Nikita
Ставите запаску и потом спокойно едете в сервис
Зачем? Если в страховку входит роад ассист сервис 24/7
Nikita
2023-08-07 21:10 UTC
Если входит, то да
На Кипре существует мобильный шиномонтаж?
На Кипре существует мобильный шиномонтаж?
Oleg Reshetnikov
2023-08-07 21:12 UTC
Nikita
Если входит, то да
На Кипре существует мобильный шиномонтаж?
Во все страховки на Кипре входит роад ассист - проколотое колесо, аккумулятор, эвакуатор и так далее.
Chaos Mess
2023-08-07 21:14 UTC
Oleg Reshetnikov
Во все страховки на Кипре входит роад ассист - проколотое колесо, аккумулятор, эвакуатор и так дале...
Буквально два дня назад страховщик сказал что может прислать человека с новым колесом - но за денежку )
Nikita
2023-08-07 21:14 UTC
я арендовывал машину в budget Avis, проколол вечером колесо в Никосии, набрал на 24/7 линию, сказали уже поздно, и вообще мы не выезжаем, поставьте запаску и приезжайте завтра, начиная с утра .
Oleg Reshetnikov
2023-08-07 21:14 UTC
Nikita
я арендовывал машину в budget Avis, проколол вечером колесо в Никосии, набрал на 24/7 линию, сказали...
Я про личное авто, не про аренду.
Там совсем другие условия.
Но не буду спорить с вами.
Там совсем другие условия.
Но не буду спорить с вами.
Nikita
2023-08-07 21:15 UTC
а, не знал, я просто удивлен, что на Кипре в принципе есть мобильный шиномонтаж
Stepan Seliuk
2023-08-07 21:22 UTC
На кого ставите, на Илона или Марка? 😀
Mentat
2023-08-07 21:23 UTC
Stepan Seliuk
На кого ставите, на Илона или Марка? 😀
Марка конечно. Этот хотябы занимается подготовкой. Илон занимается бизнесом
Stepan Seliuk
2023-08-07 21:24 UTC
Mentat
Марка конечно. Этот хотябы занимается подготовкой. Илон занимается бизнесом
Он сказал что весá таскает) готовится 😀 вообще весело конечно, такого еще не было
43 messages on this day